Zhou Lin, Guo Jianming, Wang Hang, Wang Guomin
From the Department of Urology, Zhongshan Hospital, Fudan University, Shanghai, China.
Medicine (Baltimore). 2015 Feb;94(5):e506. doi: 10.1097/MD.0000000000000506.
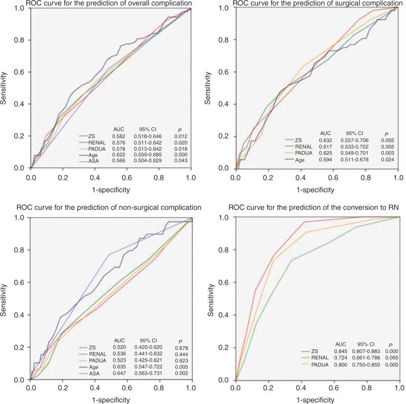
In the zero ischemia era of nephron-sparing surgery (NSS), a new anatomic classification system (ACS) is needed to adjust to these new surgical techniques. We devised a novel and simple ACS, and compared it with the RENAL and PADUA scores to predict the risk of NSS outcomes. We retrospectively evaluated 789 patients who underwent NSS with available imaging between January 2007 and July 2014. Demographic and clinical data were assessed. The Zhongshan (ZS) score consisted of three parameters. RENAL, PADUA, and ZS scores are divided into three groups, that is, high, moderate, and low scores. For operative time (OT), significant differences were seen between any two groups of ZS score and PADUA score (all P < 0.05). For ZS score, patients with moderate and high scores had longer warm ischemia time (WIT) and greater increase in SCr compared with low score (all P < 0.05). What is more, the differences between moderate and high scores classified by ZS score were borderline but trending toward significance in WIT (P = 0.064) and increase in SCr (P = 0.052). Interestingly, RENAL showed no significant difference between moderate and high complexity in OT, WIT, estimated blood loss, and increase in SCr. Compared with patients with a low score of ZS, those with a high or moderate score had 8.1-fold or 3.3-fold higher risk of surgical complications, respectively (all P < 0.05). As for RENAL score, patients with a high or moderate score had 5.7-fold or 1.9-fold higher risk of surgical complications, respectively (all P < 0.05). Patients with a high or moderate score of PADUA had 2.3-fold or 2.8-fold higher risk of surgical complications, respectively (all P < 0.05). In the ROC curve analysis, ZS score had the greatest AUC for surgical complications (AUC = 0.632) and the conversion to radical nephrectomy (AUC = 0.845) (all P < 0.05). In conclusion, the ability of ZS score to predict the surgical complexity and surgical complications of NSS is better than RENAL and PADUA scores. ZS score could be used to reflect the surgical complexity and predict the risk of surgical complications in patients undergoing NSS.
在保留肾单位手术(NSS)的零缺血时代,需要一种新的解剖学分类系统(ACS)来适应这些新的手术技术。我们设计了一种新颖且简单的ACS,并将其与RENAL和PADUA评分进行比较,以预测NSS结果的风险。我们回顾性评估了2007年1月至2014年7月间接受NSS且有可用影像学资料的789例患者。评估了人口统计学和临床数据。中山(ZS)评分由三个参数组成。RENAL、PADUA和ZS评分分为三组,即高分、中分和低分。对于手术时间(OT),ZS评分和PADUA评分的任意两组之间均存在显著差异(所有P<0.05)。对于ZS评分,与低分患者相比,中分和高分患者的热缺血时间(WIT)更长,血清肌酐(SCr)升高幅度更大(所有P<0.05)。此外,ZS评分分类的中分和高分之间在WIT(P=0.064)和SCr升高(P=0.052)方面的差异接近临界值但有显著趋势。有趣的是,RENAL在OT、WIT、估计失血量和SCr升高方面,中度和高度复杂性之间无显著差异。与ZS评分低的患者相比,高分或中分患者手术并发症的风险分别高8.1倍或3.3倍(所有P<0.05)。至于RENAL评分,高分或中分患者手术并发症的风险分别高5.7倍或1.9倍(所有P<0.05)。PADUA高分或中分患者手术并发症的风险分别高2.3倍或2.8倍(所有P<0.05)。在ROC曲线分析中,ZS评分在手术并发症(AUC=0.632)和转为根治性肾切除术(AUC=0.845)方面的曲线下面积最大(所有P<0.05)。总之,ZS评分预测NSS手术复杂性和手术并发症的能力优于RENAL和PADUA评分。ZS评分可用于反映手术复杂性并预测接受NSS患者的手术并发症风险。