Zhu Weiping, Sun Yanping, Chen Xuning, Feng Shiliang
Shanghai Institute of Applied Mathematics and Mechanics, Shanghai University, Shanghai 200072, China.
Neural Regen Res. 2012 Jul 15;7(20):1525-33. doi: 10.3969/j.issn.1673-5374.2012.20.001.
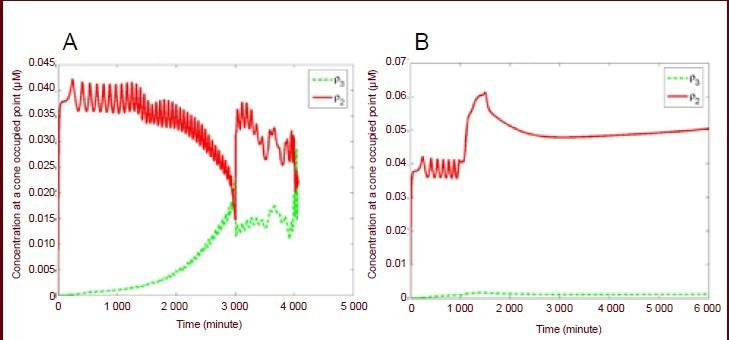
A mathematical model has been formulated in accordance with cell chemotaxis and relevant experimental data. A three-dimensional lattice Boltzmann method was used for numerical simulation. The present study observed the effects of glial scar size and inhibitor concentration on regenerative axonal growth following spinal cord transection. The simulation test comprised two parts: (1) when release rates of growth inhibitor and promoter were constant, the effects of glial scar size on axonal growth rate were analyzed, and concentrations of inhibitor and promoters located at the moving growth cones were recorded. (2) When the glial scar size was constant, the effects of inhibitor and promoter release rates on axonal growth rate were analyzed, and inhibitor and promoter concentrations at the moving growth cones were recorded. Results demonstrated that (1) a larger glial scar and a higher release rate of inhibitor resulted in a reduced axonal growth rate. (2) The axonal growth rate depended on the ratio of inhibitor to promoter concentrations at the growth cones. When the average ratio was < 1.5, regenerating axons were able to grow and successfully contact target cells.