• 文献检索
  • 文档翻译
  • 深度研究
  • 学术资讯
  • Suppr Zotero 插件Zotero 插件
  • 邀请有礼
  • 套餐&价格
  • 历史记录
应用&插件
Suppr Zotero 插件Zotero 插件浏览器插件Mac 客户端Windows 客户端微信小程序
定价
高级版会员购买积分包购买API积分包
服务
文献检索文档翻译深度研究API 文档MCP 服务
关于我们
关于 Suppr公司介绍联系我们用户协议隐私条款
关注我们

Suppr 超能文献

核心技术专利:CN118964589B侵权必究
粤ICP备2023148730 号-1Suppr @ 2026

文献检索

告别复杂PubMed语法,用中文像聊天一样搜索,搜遍4000万医学文献。AI智能推荐,让科研检索更轻松。

立即免费搜索

文件翻译

保留排版,准确专业,支持PDF/Word/PPT等文件格式,支持 12+语言互译。

免费翻译文档

深度研究

AI帮你快速写综述,25分钟生成高质量综述,智能提取关键信息,辅助科研写作。

立即免费体验

土壤-小白菜系统中多环芳烃(PAHs)的累积、分配及风险评估

Accumulation, allocation, and risk assessment of polycyclic aromatic hydrocarbons (PAHs) in soil-Brassica chinensis system.

作者信息

Zhang Juan, Fan Shukai, Du Xiaoming, Yang Juncheng, Wang Wenyan, Hou Hong

机构信息

State Key Laboratory of Environmental Criteria and Risk Assessment, Chinese Research Academy of Environmental Science, Beijing, China; School of Metallurgical and Ecological Engineering, University of Science and Technology Beijing, Beijing, China.

Environmental Engineering Institute, Beijing General Research Institute of Mining and Metallurgy, Beijing, China.

出版信息

PLoS One. 2015 Feb 13;10(2):e0115863. doi: 10.1371/journal.pone.0115863. eCollection 2015.

DOI:10.1371/journal.pone.0115863
PMID:25679782
原文链接:https://pmc.ncbi.nlm.nih.gov/articles/PMC4334532/
Abstract

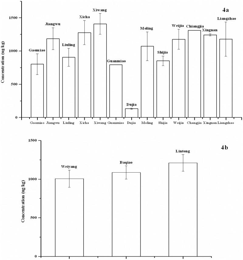
Farmland soil and leafy vegetables accumulate more polycyclic aromatic hydrocarbons (PAHs) in suburban sites. In this study, 13 sampling areas were selected from vegetable fields in the outskirts of Xi'an, the largest city in northwestern China. The similarity of PAH composition in soil and vegetation was investigated through principal components analysis and redundancy analysis (RDA), rather than discrimination of PAH congeners from various sources. The toxic equivalent quantity of PAHs in soil ranged from 7 to 202 μg/kg d.w., with an average of 41 μg/kg d.w., which exceeded the agricultural/horticultural soil acceptance criteria for New Zealand. However, the cancer risk level posed by combined direct ingestion, dermal contact, inhalation of soil particles, and inhalation of surface soil vapor met the rigorous international criteria (1 × 10(-6)). The concentration of total PAHs was (1052 ± 73) μg/kg d.w. in vegetation (mean ± standard error). The cancer risks posed by ingestion of vegetation ranged from 2×10-5 to 2 × 10(-4) with an average of 1.66 × 10(-4), which was higher than international excess lifetime risk limits for carcinogens (1 × 10(-4)). The geochemical indices indicated that the PAHs in soil and vegetables were mainly from vehicle and crude oil combustion. Both the total PAHs in vegetation and bioconcentration factor for total PAHs (the ratio of total PAHs in vegetation to total PAHs in soil) increased with increasing pH as well as decreasing sand in soil. The total variation in distribution of PAHs in vegetation explained by those in soil reached 98% in RDA, which was statistically significant based on Monte Carlo permutation. Common pollution source and notable effects of soil contamination on vegetation would result in highly similar distribution of PAHs in soil and vegetation.

摘要

在郊区,农田土壤和叶菜类蔬菜积累了更多的多环芳烃(PAHs)。本研究从中国西北最大城市西安郊区的菜地中选取了13个采样区域。通过主成分分析和冗余分析(RDA)研究了土壤和植被中PAH组成的相似性,而非区分来自不同来源的PAH同系物。土壤中PAHs的毒性当量范围为7至202μg/kg干重,平均为41μg/kg干重,超过了新西兰农业/园艺土壤的验收标准。然而,通过直接摄入、皮肤接触、吸入土壤颗粒和吸入表层土壤蒸汽综合造成的癌症风险水平符合严格的国际标准(1×10⁻⁶)。植被中总PAHs的浓度为(1052±73)μg/kg干重(平均值±标准误差)。摄入植被造成的癌症风险范围为2×10⁻⁵至2×10⁻⁴,平均为1.66×10⁻⁴,高于国际致癌物终身超额风险限值(1×10⁻⁴)。地球化学指标表明,土壤和蔬菜中的PAHs主要来自车辆和原油燃烧。植被中总PAHs以及总PAHs的生物富集系数(植被中总PAHs与土壤中总PAHs的比值)均随着土壤pH值的升高以及土壤中砂含量的降低而增加。在冗余分析中,土壤中PAHs分布的总变化对植被中PAHs分布的解释率达到98%,基于蒙特卡洛排列检验具有统计学意义。共同的污染源以及土壤污染对植被的显著影响导致土壤和植被中PAHs的分布高度相似。

https://cdn.ncbi.nlm.nih.gov/pmc/blobs/4b20/4334532/f0a07ea6c1c6/pone.0115863.g004.jpg
https://cdn.ncbi.nlm.nih.gov/pmc/blobs/4b20/4334532/eb4d361d9870/pone.0115863.g001.jpg
https://cdn.ncbi.nlm.nih.gov/pmc/blobs/4b20/4334532/0f5e2ccf2d98/pone.0115863.g002.jpg
https://cdn.ncbi.nlm.nih.gov/pmc/blobs/4b20/4334532/f376ca790860/pone.0115863.g003.jpg
https://cdn.ncbi.nlm.nih.gov/pmc/blobs/4b20/4334532/f0a07ea6c1c6/pone.0115863.g004.jpg
https://cdn.ncbi.nlm.nih.gov/pmc/blobs/4b20/4334532/eb4d361d9870/pone.0115863.g001.jpg
https://cdn.ncbi.nlm.nih.gov/pmc/blobs/4b20/4334532/0f5e2ccf2d98/pone.0115863.g002.jpg
https://cdn.ncbi.nlm.nih.gov/pmc/blobs/4b20/4334532/f376ca790860/pone.0115863.g003.jpg
https://cdn.ncbi.nlm.nih.gov/pmc/blobs/4b20/4334532/f0a07ea6c1c6/pone.0115863.g004.jpg

相似文献

1
Accumulation, allocation, and risk assessment of polycyclic aromatic hydrocarbons (PAHs) in soil-Brassica chinensis system.土壤-小白菜系统中多环芳烃(PAHs)的累积、分配及风险评估
PLoS One. 2015 Feb 13;10(2):e0115863. doi: 10.1371/journal.pone.0115863. eCollection 2015.
2
[Assessment of Pollution, Sources, and Risks of Polycyclic Aromatic Hydrocarbons in Soil from Urban Parks in Xi'an City, China].[中国西安市城市公园土壤中多环芳烃的污染、来源及风险评估]
Huan Jing Ke Xue. 2017 Nov 8;38(11):4800-4808. doi: 10.13227/j.hjkx.201703009.
3
Status, sources, and risk assessment of polycyclic aromatic hydrocarbons in urban soils of Xi'an, China.中国西安城区土壤中多环芳烃的现状、来源及风险评估。
Environ Sci Pollut Res Int. 2018 Jul;25(19):18947-18959. doi: 10.1007/s11356-018-1928-z. Epub 2018 May 2.
4
Contamination, source identification, and risk assessment of polycyclic aromatic hydrocarbons in the soils of vegetable greenhouses in Shandong, China.中国山东蔬菜大棚土壤中多环芳烃的污染、来源识别和风险评估。
Ecotoxicol Environ Saf. 2017 Aug;142:181-188. doi: 10.1016/j.ecoenv.2017.04.014. Epub 2017 Apr 13.
5
Bioaccumulation and cancer risk of polycyclic aromatic hydrocarbons in leafy vegetables grown in soils within automobile repair complex and environ in Uyo, Nigeria.尼日利亚乌约汽车维修综合设施及周边土壤中生长的叶类蔬菜中多环芳烃的生物累积与癌症风险
Environ Monit Assess. 2016 Dec;188(12):681. doi: 10.1007/s10661-016-5695-3. Epub 2016 Nov 18.
6
Spatial distribution of polycyclic aromatic hydrocarbon contamination in urban soil of China.中国城市土壤中多环芳烃污染的空间分布。
Chemosphere. 2019 Sep;230:498-509. doi: 10.1016/j.chemosphere.2019.05.006. Epub 2019 May 11.
7
Polycyclic Aromatic Hydrocarbons in Urban Soil in the Semi-arid City of Xi'an, Northwest China: Composition, Distribution, Sources, and Relationships with Soil Properties.中国西北半干旱城市西安城区土壤中多环芳烃的组成、分布、来源及其与土壤性质的关系。
Arch Environ Contam Toxicol. 2018 Oct;75(3):351-366. doi: 10.1007/s00244-018-0522-1. Epub 2018 Mar 27.
8
[Pollution Characteristics and Risk Assessment of Polycyclic Aromatic Hydrocarbons in a Suburban Farmland Soil].城郊农田土壤中多环芳烃的污染特征及风险评估
Huan Jing Ke Xue. 2021 Nov 8;42(11):5510-5518. doi: 10.13227/j.hjkx.202103161.
9
Ecotoxicological risk of polycyclic aromatic hydrocarbons (PAHs) in urban soil of Isfahan metropolis, Iran.伊朗伊斯法罕大都市城市土壤中多环芳烃(PAHs)的生态毒理学风险
Environ Monit Assess. 2015 Apr;187(4):207. doi: 10.1007/s10661-015-4433-6. Epub 2015 Mar 25.
10
Occurrence, sources and health risk of polycyclic aromatic hydrocarbons in soils around oil wells in the border regions between oil fields and suburbs.油井周边油田与郊区接壤地区土壤中多环芳烃的存在、来源及健康风险。
Ecotoxicol Environ Saf. 2018 Aug 15;157:276-284. doi: 10.1016/j.ecoenv.2018.03.054. Epub 2018 Apr 5.

引用本文的文献

1
Surface horizons of forest soils for the diagnosis of soil environment contamination and toxicity caused by polycyclic aromatic hydrocarbons (PAHs).森林土壤表面层对多环芳烃(PAHs)引起的土壤环境污染和毒性的诊断。
PLoS One. 2020 Apr 14;15(4):e0231359. doi: 10.1371/journal.pone.0231359. eCollection 2020.
2
Assessment of Foliar Uptake and Accumulation of Airborne Polyaromatic Hydrocarbons Under Laboratory Conditions.评估在实验室条件下,空气中的多环芳烃经叶面吸收和积累的情况。
Bull Environ Contam Toxicol. 2020 Apr;104(4):444-448. doi: 10.1007/s00128-020-02814-z. Epub 2020 Mar 9.
3
Soil heterogeneity and surfactant desorption influence PAH distribution during electroremediation at a tar oil-contaminated site.

本文引用的文献

1
Polycyclic aromatic hydrocarbons in coastal sediment of klang strait, Malaysia: distribution pattern, risk assessment and sources.马来西亚巴生海峡沿海沉积物中的多环芳烃:分布模式、风险评估及来源
PLoS One. 2014 Apr 18;9(4):e94907. doi: 10.1371/journal.pone.0094907. eCollection 2014.
2
Effects of pollution sources and soil properties on distribution of polycyclic aromatic hydrocarbons and risk assessment.污染源和土壤性质对多环芳烃分布的影响及风险评估。
Sci Total Environ. 2013 Oct 1;463-464:1-10. doi: 10.1016/j.scitotenv.2013.05.066. Epub 2013 Jun 17.
3
Carcinogenic potential of soils contaminated with polycyclic aromatic hydrocarbons (PAHs) in Xiamen metropolis, China.
土壤非均质性和表面活性剂解吸会影响电修复过程中焦油污染场地多环芳烃的分布。
Environ Monit Assess. 2019 Sep 9;191(10):625. doi: 10.1007/s10661-019-7776-6.
4
Uptake and translocation of polycyclic aromatic hydrocarbons (PAHs) and heavy metals by maize from soil irrigated with wastewater.玉米对用废水灌溉土壤中多环芳烃(PAHs)和重金属的吸收与转运
Sci Rep. 2017 Sep 22;7(1):12165. doi: 10.1038/s41598-017-12437-w.
5
Cancer Risk Assessment of Polycyclic Aromatic Hydrocarbons in the Soils and Sediments of India: A Meta-Analysis.印度土壤和沉积物中多环芳烃的癌症风险评估:一项荟萃分析
Environ Manage. 2017 Oct;60(4):784-795. doi: 10.1007/s00267-017-0920-6. Epub 2017 Aug 11.
6
Uptake of PAHs by cabbage root and leaf in vegetable plots near a large coking manufacturer and associations with PAHs in cabbage core.在大型炼焦厂附近的蔬菜地中,菜根和菜叶对多环芳烃的吸收及与菜心多环芳烃的相关性。
Environ Sci Pollut Res Int. 2017 Aug;24(23):18953-18965. doi: 10.1007/s11356-017-9548-6. Epub 2017 Jun 27.
中国厦门大都市中受多环芳烃(PAHs)污染土壤的致癌潜力。
J Environ Monit. 2012 Dec;14(12):3111-7. doi: 10.1039/c2em30554b. Epub 2012 Oct 23.
4
Polycyclic aromatic hydrocarbons (PAHs) in soils and vegetation near an e-waste recycling site in South China: concentration, distribution, source, and risk assessment.土壤和植被中的多环芳烃(PAHs)在中国南方电子废物回收场附近:浓度、分布、来源和风险评估。
Sci Total Environ. 2012 Nov 15;439:187-93. doi: 10.1016/j.scitotenv.2012.08.018. Epub 2012 Oct 12.
5
Occurrence and risk assessment of polycyclic aromatic hydrocarbons in soil from the Tiefa coal mine district, Liaoning, China.中国辽宁铁法煤矿区土壤中多环芳烃的发生与风险评估
J Environ Monit. 2012 Oct 26;14(10):2634-42. doi: 10.1039/c2em30433c. Epub 2012 Aug 23.
6
PAH depositional history and sources in recent sediment core from Ukwa Ibom Lake, S. E. Nigeria.尼日利亚东南部 Ukwa Ibom 湖近代沉积岩芯中 PAH 的沉积历史和来源。
Environ Geochem Health. 2013 Apr;35(2):185-99. doi: 10.1007/s10653-012-9475-x. Epub 2012 Jul 21.
7
Measurement and source identification of polycyclic aromatic hydrocarbons (PAHs) in the aerosol in Xi'an, China, by using automated column chromatography and applying positive matrix factorization (PMF).采用自动化柱层析法结合正定矩阵因子分析(PMF)对中国西安大气气溶胶中的多环芳烃(PAHs)进行测量和来源识别。
Sci Total Environ. 2010 Mar 15;408(8):1909-14. doi: 10.1016/j.scitotenv.2010.01.040. Epub 2010 Feb 13.
8
Polycyclic aromatic hydrocarbons in soils of Beijing and Tianjin region: vertical distribution, correlation with TOC and transport mechanism.北京和天津地区土壤中的多环芳烃:垂直分布、与 TOC 的相关性及迁移机制。
J Environ Sci (China). 2009;21(5):675-85. doi: 10.1016/s1001-0742(08)62323-2.
9
Levels, fingerprint and daily intake of polycyclic aromatic hydrocarbons (PAHs) in bread baked using wood as fuel.以木材为燃料烘焙的面包中多环芳烃(PAHs)的含量、指纹图谱及每日摄入量
J Hazard Mater. 2009 May 30;164(2-3):876-83. doi: 10.1016/j.jhazmat.2008.08.083. Epub 2008 Aug 30.
10
Characterization of extractable and non-extractable polycyclic aromatic hydrocarbons in soils and sediments from the Pearl River Delta, China.中国珠江三角洲土壤和沉积物中可提取和不可提取多环芳烃的表征
Environ Pollut. 2008 Dec;156(3):769-74. doi: 10.1016/j.envpol.2008.06.003.