Suppr超能文献

精油和香芹酚的抗菌活性,以及香芹酚和红霉素的协同作用,对临床、红霉素耐药的 A 组链球菌。

Antimicrobial activity of essential oils and carvacrol, and synergy of carvacrol and erythromycin, against clinical, erythromycin-resistant Group A Streptococci.

机构信息

Unit of Microbiology, Department of Biomedical Sciences and Public Health, Polytechnic University of Marche, Ancona Italy.

出版信息

Front Microbiol. 2015 Mar 3;6:165. doi: 10.3389/fmicb.2015.00165. eCollection 2015.

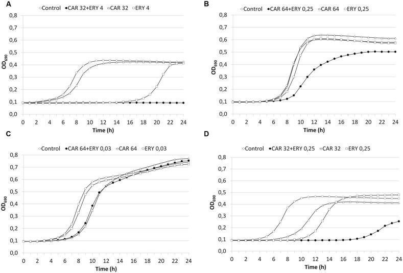
Abstract

In the present study, we have evaluated the in vitro antibacterial activity of essential oils from Origanum vulgare, Thymus vulgaris, Lavandula angustifolia, Mentha piperita, and Melaleuca alternifolia against 32 erythromycin-resistant [Mininum Inhibitory Concentration (MIC) ≥1 μg/mL; inducible, constitutive, and efflux-mediated resistance phenotype; erm(TR), erm(B), and mef(A) genes] and cell-invasive Group A streptococci (GAS) isolated from children with pharyngotonsillitis in Italy. Over the past decades erythromycin resistance in GAS has emerged in several countries; strains combining erythromycin resistance and cell invasiveness may escape β-lactams because of intracellular location and macrolides because of resistance, resulting in difficulty of eradication and recurrent pharyngitis. Thyme and origanum essential oils demonstrated the highest antimicrobial activity with MICs ranging from 256 to 512 μg/mL. The phenolic monoterpene carvacrol [2-Methyl-5-(1-methylethyl) phenol] is a major component of the essential oils of Origanum and Thymus plants. MICs of carvacrol ranged from 64 to 256 μg/mL. In the live/dead assay several dead cells were detected as early as 1 h after incubation with carvacrol at the MIC. In single-step resistance selection studies no resistant mutants were obtained. A synergistic action of carvacrol and erythromycin was detected by the checkerboard assay and calculation of the Fractional Inhibitory Concentration (FIC) Index. A 2- to 2048-fold reduction of the erythromycin MIC was documented in checkerboard assays. Synergy (FIC Index ≤0.5) was found in 21/32 strains and was highly significant (p < 0.01) in strains where resistance is expressed only in presence of erythromycin. Synergy was confirmed in 17/23 strains using 24-h time-kill curves in presence of carvacrol and erythromycin. Our findings demonstrated that carvacrol acts either alone or in combination with erythromycin against erythromycin-resistant GAS and could potentially serve as a novel therapeutic tool.

摘要

在本研究中,我们评估了牛至、百里香、薰衣草、胡椒薄荷和互叶白千层精油对 32 株红霉素耐药(最低抑菌浓度(MIC)≥1μg/mL;诱导型、组成型和外排介导的耐药表型;erm(TR)、erm(B)和 mef(A)基因)且具有侵袭性的 A 组链球菌(GAS)的体外抗菌活性,这些菌株均从意大利患有咽炎的儿童中分离得到。在过去几十年中,GAS 中的红霉素耐药性已在多个国家出现;结合红霉素耐药性和细胞侵袭性的菌株可能会因细胞内位置而逃避β-内酰胺类药物,因耐药性而逃避大环内酯类药物,从而导致难以根除和反复发生咽炎。百里香和牛至精油表现出最高的抗菌活性,MIC 范围为 256 至 512μg/mL。酚类单萜香芹酚[2-甲基-5-(1-甲基乙基)苯酚]是牛至和百里香植物精油的主要成分。香芹酚的 MIC 范围为 64 至 256μg/mL。在活菌/死菌试验中,在用香芹酚孵育 MIC 后 1 小时,就检测到了许多死亡细胞。在一步耐药选择研究中,没有获得耐药突变体。棋盘试验和分数抑菌浓度(FIC)指数计算检测到香芹酚和红霉素之间存在协同作用。在棋盘试验中,红霉素 MIC 降低了 2 至 2048 倍。在 32 株菌株中的 21 株中发现协同作用(FIC 指数≤0.5),在仅在红霉素存在时表达耐药性的菌株中具有高度显著性(p<0.01)。在存在香芹酚和红霉素时,用 24 小时时间杀伤曲线在 17/23 株菌株中证实了协同作用。我们的研究结果表明,香芹酚单独或与红霉素联合对抗红霉素耐药性 GAS 具有活性,可能成为一种新的治疗工具。

https://cdn.ncbi.nlm.nih.gov/pmc/blobs/6a60/4347498/253351becd27/fmicb-06-00165-g001.jpg

文献检索

告别复杂PubMed语法,用中文像聊天一样搜索,搜遍4000万医学文献。AI智能推荐,让科研检索更轻松。

立即免费搜索

文件翻译

保留排版,准确专业,支持PDF/Word/PPT等文件格式,支持 12+语言互译。

免费翻译文档

深度研究

AI帮你快速写综述,25分钟生成高质量综述,智能提取关键信息,辅助科研写作。

立即免费体验