• 文献检索
  • 文档翻译
  • 深度研究
  • 学术资讯
  • Suppr Zotero 插件Zotero 插件
  • 邀请有礼
  • 套餐&价格
  • 历史记录
应用&插件
Suppr Zotero 插件Zotero 插件浏览器插件Mac 客户端Windows 客户端微信小程序
定价
高级版会员购买积分包购买API积分包
服务
文献检索文档翻译深度研究API 文档MCP 服务
关于我们
关于 Suppr公司介绍联系我们用户协议隐私条款
关注我们

Suppr 超能文献

核心技术专利:CN118964589B侵权必究
粤ICP备2023148730 号-1Suppr @ 2026

文献检索

告别复杂PubMed语法,用中文像聊天一样搜索,搜遍4000万医学文献。AI智能推荐,让科研检索更轻松。

立即免费搜索

文件翻译

保留排版,准确专业,支持PDF/Word/PPT等文件格式,支持 12+语言互译。

免费翻译文档

深度研究

AI帮你快速写综述,25分钟生成高质量综述,智能提取关键信息,辅助科研写作。

立即免费体验

通过一项盲法研究验证LRG1作为检测上皮性卵巢癌潜在生物标志物的有效性。

Validation of LRG1 as a potential biomarker for detection of epithelial ovarian cancer by a blinded study.

作者信息

Wu Jing, Yin Haidi, Zhu Jianhui, Buckanovich Ronald J, Thorpe Jason D, Dai Jianliang, Urban Nicole, Lubman David M

机构信息

University of Michigan, Department of Surgery, Ann Arbor, MI, United States of America.

University of Michigan, Department of Internal Medicine, Ann Arbor, MI, United States of America.

出版信息

PLoS One. 2015 Mar 23;10(3):e0121112. doi: 10.1371/journal.pone.0121112. eCollection 2015.

DOI:10.1371/journal.pone.0121112
PMID:25799488
原文链接:https://pmc.ncbi.nlm.nih.gov/articles/PMC4370724/
Abstract

BACKGROUND

Leucine-rich alpha-2-glycoprotein (LRG1) was found to be differentially expressed in sera from patients with Epithelial Ovarian Cancer (EOC). The aim of this study is to investigate the performance of LRG1 for detection of EOC, including early stage EOC, and to evaluate if LRG1 can complement CA125 in order to improve EOC detection using two independent blinded sample sets.

METHODS AND RESULTS

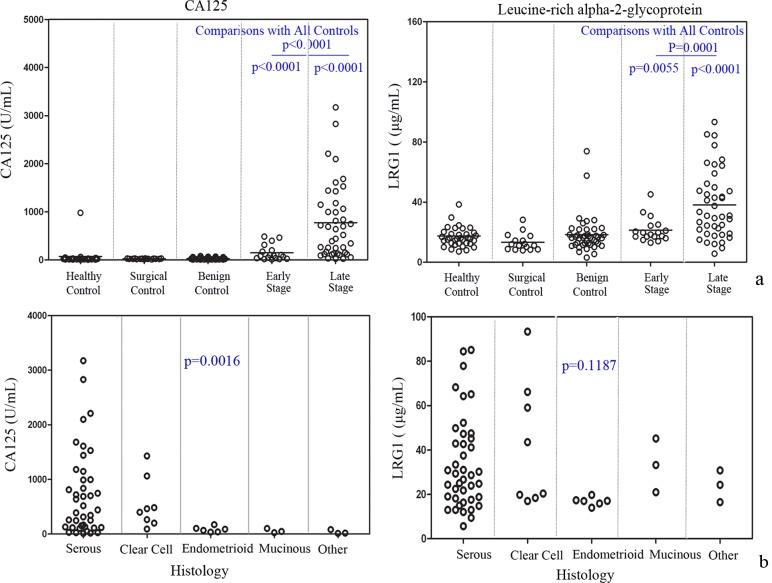
Serum LRG1 and CA125 were measured by immunoassays. All assays were performed blinded to clinical data. Using the two independent sample sets (156 participants for sample set 1, and 233 for sample set 2), LRG1 was differentially expressed in EOC cases as compared to healthy, surgical, and benign controls, and its performance was not affected by the conditions of blood collection. The areas under the ROC curve (AUC) for LRG1 in differentiating EOC cases from non-cases were 0.797 and 0.786 for sample set 1 and 2. For differentiating EOC cases from healthy controls, the AUC values for LRG1 were 0.792 and 0.794. At a fixed specificity of 95%, LRG1 detects 52%, and 53.5% of EOC cases from healthy controls for sample set 1 and 2. When combining LRG1 and CA125, the AUC value increased to 0.927, which was improved compared to CA125 (AUC=0.916) (p=0.008) alone in distinguishing EOC cases from non-cases. More importantly, LRG1 also showed potential performance in differentiating early stage EOC from non-cases with an AUC of 0.715 for sample set 1, and 0.690 for sample set 2. The combination of LRG1 and CA125 resulted in an AUC of 0.838, which outperforms CA125 (AUC=0.785) (p=0.018) in detecting early stage EOC cases from non-cases using the larger sample set.

CONCLUSIONS

LRG1 could be a useful biomarker alone or in combination with CA125 for the diagnosis of ovarian cancer.

摘要

背景

富含亮氨酸的α-2-糖蛋白(LRG1)在上皮性卵巢癌(EOC)患者血清中存在差异表达。本研究旨在探究LRG1用于检测EOC(包括早期EOC)的性能,并评估LRG1能否与CA125互补,以利用两个独立的盲法样本集改善EOC检测。

方法与结果

采用免疫分析法检测血清LRG1和CA125。所有检测均对临床数据设盲。利用两个独立样本集(样本集1有156名参与者,样本集2有233名),与健康、手术及良性对照相比,LRG1在EOC病例中存在差异表达,且其性能不受采血条件影响。样本集1和2中,LRG1区分EOC病例与非病例的ROC曲线下面积(AUC)分别为0.797和0.786。对于区分EOC病例与健康对照,LRG1的AUC值分别为0.792和0.794。在固定特异性为95%时,样本集1和2中LRG1从健康对照中检测出52%和53.5%的EOC病例。当将LRG1与CA125联合使用时,区分EOC病例与非病例的AUC值增至0.927,相较于单独使用CA125(AUC = 0.916)(p = 0.008)有所提高。更重要的是,LRG1在区分早期EOC病例与非病例方面也显示出潜在性能,样本集1的AUC为0.715,样本集2的AUC为0.690。在使用较大样本集检测早期EOC病例与非病例时,LRG1与CA125联合使用的AUC为0.838,优于CA125(AUC = 0.785)(p = 0.018)。

结论

LRG1单独或与CA125联合使用可能是诊断卵巢癌的有用生物标志物。

https://cdn.ncbi.nlm.nih.gov/pmc/blobs/0a19/4370724/a4a85cb597af/pone.0121112.g005.jpg
https://cdn.ncbi.nlm.nih.gov/pmc/blobs/0a19/4370724/bfef67880fff/pone.0121112.g001.jpg
https://cdn.ncbi.nlm.nih.gov/pmc/blobs/0a19/4370724/a48a49ddcc4d/pone.0121112.g002.jpg
https://cdn.ncbi.nlm.nih.gov/pmc/blobs/0a19/4370724/f2a58c255280/pone.0121112.g003.jpg
https://cdn.ncbi.nlm.nih.gov/pmc/blobs/0a19/4370724/4bdce11bb2eb/pone.0121112.g004.jpg
https://cdn.ncbi.nlm.nih.gov/pmc/blobs/0a19/4370724/a4a85cb597af/pone.0121112.g005.jpg
https://cdn.ncbi.nlm.nih.gov/pmc/blobs/0a19/4370724/bfef67880fff/pone.0121112.g001.jpg
https://cdn.ncbi.nlm.nih.gov/pmc/blobs/0a19/4370724/a48a49ddcc4d/pone.0121112.g002.jpg
https://cdn.ncbi.nlm.nih.gov/pmc/blobs/0a19/4370724/f2a58c255280/pone.0121112.g003.jpg
https://cdn.ncbi.nlm.nih.gov/pmc/blobs/0a19/4370724/4bdce11bb2eb/pone.0121112.g004.jpg
https://cdn.ncbi.nlm.nih.gov/pmc/blobs/0a19/4370724/a4a85cb597af/pone.0121112.g005.jpg

相似文献

1
Validation of LRG1 as a potential biomarker for detection of epithelial ovarian cancer by a blinded study.通过一项盲法研究验证LRG1作为检测上皮性卵巢癌潜在生物标志物的有效性。
PLoS One. 2015 Mar 23;10(3):e0121112. doi: 10.1371/journal.pone.0121112. eCollection 2015.
2
Diagnostic Model of Serum miR-193a-5p, HE4 and CA125 Improves the Diagnostic Efficacy of Epithelium Ovarian Cancer.血清miR-193a-5p、HE4和CA125诊断模型提高上皮性卵巢癌的诊断效能。
Pathol Oncol Res. 2018 Oct;24(4):739-744. doi: 10.1007/s12253-018-0392-x. Epub 2018 Mar 8.
3
Diagnostic performance of the biomarkers HE4 and CA125 in type I and type II epithelial ovarian cancer.HE4 和 CA125 标志物在 I 型和 II 型上皮性卵巢癌中的诊断性能。
Gynecol Oncol. 2013 Oct;131(1):52-8. doi: 10.1016/j.ygyno.2013.07.094. Epub 2013 Jul 25.
4
A multiplex biomarker assay improves the diagnostic performance of HE4 and CA125 in ovarian tumor patients.一种多重生物标志物检测方法提高了 HE4 和 CA125 在卵巢肿瘤患者中的诊断性能。
PLoS One. 2020 Oct 19;15(10):e0240418. doi: 10.1371/journal.pone.0240418. eCollection 2020.
5
Tissue CA125 and HE4 Gene Expression Levels Offer Superior Accuracy in Discriminating Benign from Malignant Pelvic Masses.组织CA125和HE4基因表达水平在鉴别盆腔良恶性肿块方面具有更高的准确性。
Asian Pac J Cancer Prev. 2016;17(1):323-33. doi: 10.7314/apjcp.2016.17.1.323.
6
Development of a multi-marker model combining HE4, CA125, progesterone, and estradiol for distinguishing benign from malignant pelvic masses in postmenopausal women.开发一种结合人附睾蛋白4(HE4)、癌抗原125(CA125)、孕酮和雌二醇的多标志物模型,用于区分绝经后女性盆腔肿块的良恶性。
Tumour Biol. 2016 Feb;37(2):2183-91. doi: 10.1007/s13277-015-4037-3. Epub 2015 Sep 9.
7
Evaluation of the sensitivity and specificity of serum level of prostasin, CA125, LDH, AFP, and hCG+β in epithelial ovarian cancer patients.评估上皮性卵巢癌患者血清中前列腺素、CA125、乳酸脱氢酶、甲胎蛋白及人绒毛膜促性腺激素β亚基水平的敏感性和特异性。
Eur J Gynaecol Oncol. 2017;38(3):418-424.
8
HE4, CA125 and risk of ovarian malignancy algorithm (ROMA) as diagnostic tools for ovarian cancer in patients with a pelvic mass: An Italian multicenter study.人附睾蛋白4(HE4)、癌抗原125(CA125)及卵巢恶性肿瘤风险算法(ROMA)作为盆腔肿块患者卵巢癌诊断工具的意大利多中心研究。
Gynecol Oncol. 2016 May;141(2):303-311. doi: 10.1016/j.ygyno.2016.01.016. Epub 2016 Jan 19.
9
Comparison of HE4, CA125 and ROMA algorithm in women with a pelvic mass: correlation with pathological outcome.HE4、CA125 和 ROMA 算法在盆腔肿块女性中的比较:与病理结果的相关性。
Gynecol Oncol. 2013 Feb;128(2):233-8. doi: 10.1016/j.ygyno.2012.11.026. Epub 2012 Nov 28.
10
Clinical application of HE4 and CA125 in ovarian cancer type I and type II detection and differential diagnosis.HE4和CA125在卵巢癌Ⅰ型和Ⅱ型检测及鉴别诊断中的临床应用
Ginekol Pol. 2015 Feb;86(2):88-93. doi: 10.17772/gp/1993.

引用本文的文献

1
The disruptive role of LRG1 on the vasculature and perivascular microenvironment.LRG1对脉管系统和血管周围微环境的破坏作用。
Front Cardiovasc Med. 2024 Apr 30;11:1386177. doi: 10.3389/fcvm.2024.1386177. eCollection 2024.
2
Cluster-Enhanced Nanopore Sensing of Ovarian Cancer Marker Peptides in Urine.簇增强纳米孔检测尿液中的卵巢癌标志物肽。
ACS Sens. 2024 Feb 23;9(2):860-869. doi: 10.1021/acssensors.3c02207. Epub 2024 Jan 29.
3
[LRG1 inhibits hepatic macrophage activation by enhancing TGF-β1 signaling to alleviate MAFLD in mice].

本文引用的文献

1
Deciphering the peptidome of urine from ovarian cancer patients and healthy controls.解析卵巢癌患者和健康对照者尿液中的肽组。
Clin Proteomics. 2014 Jun 2;11(1):23. doi: 10.1186/1559-0275-11-23. eCollection 2014.
2
Cancer statistics, 2014.癌症统计数据,2014 年。
CA Cancer J Clin. 2014 Jan-Feb;64(1):9-29. doi: 10.3322/caac.21208. Epub 2014 Jan 7.
3
Altered expression of sialylated glycoproteins in ovarian cancer sera using lectin-based ELISA assay and quantitative glycoproteomics analysis.基于凝集素的 ELISA 检测和定量糖蛋白质组学分析检测卵巢癌血清中唾液酸化糖蛋白的表达变化。
[LRG1通过增强TGF-β1信号传导抑制肝巨噬细胞活化以减轻小鼠MAFLD]
Nan Fang Yi Ke Da Xue Xue Bao. 2023 Jul 20;43(7):1164-1171. doi: 10.12122/j.issn.1673-4254.2023.07.13.
4
Circulating microvesicles correlate with radiation proctitis complication after radiotherapy.循环微囊与放疗后放射性直肠炎并发症相关。
Sci Rep. 2023 Feb 4;13(1):2033. doi: 10.1038/s41598-022-21726-y.
5
Applying multi-omics data to study the genetic background of bovine respiratory disease infection in feedlot crossbred cattle.应用多组学数据研究育肥牛场杂交牛呼吸道疾病感染的遗传背景。
Front Genet. 2022 Dec 12;13:1046192. doi: 10.3389/fgene.2022.1046192. eCollection 2022.
6
Angiopathic activity of LRG1 is induced by the IL-6/STAT3 pathway.LRG1 的血管病变活性是由 IL-6/STAT3 通路诱导的。
Sci Rep. 2022 Mar 22;12(1):4867. doi: 10.1038/s41598-022-08516-2.
7
LRG1 in pancreatic cancer cells promotes inflammatory factor synthesis and the angiogenesis of HUVECs by activating VEGFR signaling.胰腺癌细胞中的LRG1通过激活VEGFR信号促进炎症因子合成及人脐静脉内皮细胞的血管生成。
J Gastrointest Oncol. 2022 Feb;13(1):400-412. doi: 10.21037/jgo-21-910.
8
Research Progress on Leucine-Rich Alpha-2 Glycoprotein 1: A Review.富含亮氨酸的α-2糖蛋白1的研究进展:综述
Front Pharmacol. 2022 Jan 5;12:809225. doi: 10.3389/fphar.2021.809225. eCollection 2021.
9
LRG1: an emerging player in disease pathogenesis.LRG1:疾病发病机制中的新兴参与者。
J Biomed Sci. 2022 Jan 21;29(1):6. doi: 10.1186/s12929-022-00790-6.
10
The role of leucine-rich alpha-2-glycoprotein-1 in proliferation, migration, and invasion of tumors.亮氨酸丰富α-2-糖蛋白-1 在肿瘤增殖、迁移和侵袭中的作用。
J Cancer Res Clin Oncol. 2022 Feb;148(2):283-291. doi: 10.1007/s00432-021-03876-0. Epub 2022 Jan 17.
J Proteome Res. 2013 Jul 5;12(7):3342-52. doi: 10.1021/pr400169n. Epub 2013 Jun 17.
4
Biomarker testing for ovarian cancer: clinical utility of multiplex assays.卵巢癌的生物标志物检测:多重分析的临床效用。
Mol Diagn Ther. 2013 Jun;17(3):139-46. doi: 10.1007/s40291-013-0027-6.
5
Identification and confirmation of differentially expressed fucosylated glycoproteins in the serum of ovarian cancer patients using a lectin array and LC-MS/MS.采用凝集素芯片和 LC-MS/MS 技术鉴定和确认卵巢癌患者血清中差异表达的岩藻糖基化糖蛋白。
J Proteome Res. 2012 Sep 7;11(9):4541-52. doi: 10.1021/pr300330z. Epub 2012 Aug 6.
6
Protein biomarkers of ovarian cancer: the forest and the trees.卵巢癌的蛋白质生物标志物:只见树木,不见森林。
Future Oncol. 2012 Jan;8(1):55-71. doi: 10.2217/fon.11.135.
7
Personalizing CA125 levels for ovarian cancer screening.针对卵巢癌筛查的 CA125 水平个体化。
Cancer Prev Res (Phila). 2011 Sep;4(9):1356-9. doi: 10.1158/1940-6207.CAPR-11-0378.
8
fTwo novel biomarkers, mesothelin and HE4, for diagnosis of ovarian carcinoma.两种用于诊断卵巢癌的新型生物标志物,间皮素和人附睾蛋白4 。
Expert Opin Med Diagn. 2011 May 1;5(3):227-240. doi: 10.1517/17530059.2011.559459.
9
Effect of screening on ovarian cancer mortality: the Prostate, Lung, Colorectal and Ovarian (PLCO) Cancer Screening Randomized Controlled Trial.筛查对卵巢癌死亡率的影响:前列腺癌、肺癌、结直肠癌和卵巢癌(PLCO)癌症筛查随机对照试验。
JAMA. 2011 Jun 8;305(22):2295-303. doi: 10.1001/jama.2011.766.
10
Ovarian cancer biomarker performance in prostate, lung, colorectal, and ovarian cancer screening trial specimens.在前列腺癌、肺癌、结直肠癌和卵巢癌筛查试验标本中卵巢癌生物标志物的性能。
Cancer Prev Res (Phila). 2011 Mar;4(3):365-74. doi: 10.1158/1940-6207.CAPR-10-0195.