Applied Neuroscience Branch, Human Effectiveness Directorate, 711th Human Performance Wing, Air Force Research Laboratory Wright-Patterson AFB, OH, USA.
Front Neurosci. 2015 Mar 9;9:54. doi: 10.3389/fnins.2015.00054. eCollection 2015.
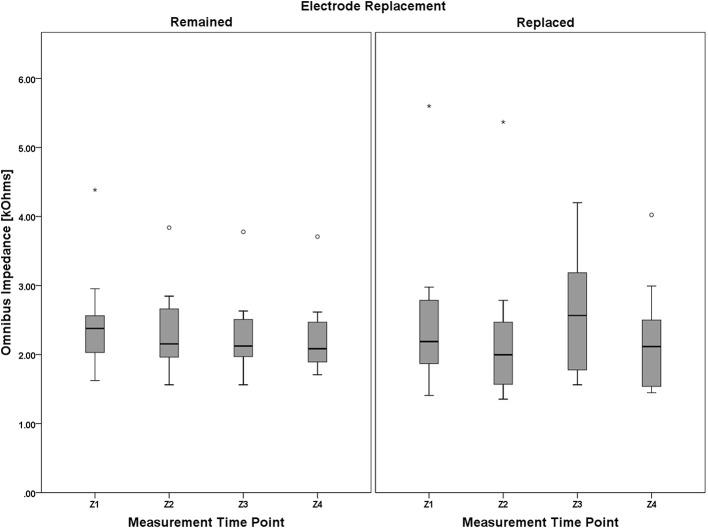
The passive brain-computer interface (pBCI) framework has been shown to be a very promising construct for assessing cognitive and affective state in both individuals and teams. There is a growing body of work that focuses on solving the challenges of transitioning pBCI systems from the research laboratory environment to practical, everyday use. An interesting issue is what impact methodological variability may have on the ability to reliably identify (neuro)physiological patterns that are useful for state assessment. This work aimed at quantifying the effects of methodological variability in a pBCI design for detecting changes in cognitive workload. Specific focus was directed toward the effects of replacing electrodes over dual sessions (thus inducing changes in placement, electromechanical properties, and/or impedance between the electrode and skin surface) on the accuracy of several machine learning approaches in a binary classification problem. In investigating these methodological variables, it was determined that the removal and replacement of the electrode suite between sessions does not impact the accuracy of a number of learning approaches when trained on one session and tested on a second. This finding was confirmed by comparing to a control group for which the electrode suite was not replaced between sessions. This result suggests that sensors (both neurological and peripheral) may be removed and replaced over the course of many interactions with a pBCI system without affecting its performance. Future work on multi-session and multi-day pBCI system use should seek to replicate this (lack of) effect between sessions in other tasks, temporal time courses, and data analytic approaches while also focusing on non-stationarity and variable classification performance due to intrinsic factors.
被动式脑机接口 (pBCI) 框架已被证明是一种非常有前途的方法,可以评估个体和团队的认知和情感状态。越来越多的工作专注于解决将 pBCI 系统从研究实验室环境过渡到实际日常使用的挑战。一个有趣的问题是,方法学的可变性可能会对可靠识别用于状态评估的(神经)生理模式的能力产生什么影响。这项工作旨在量化在用于检测认知工作量变化的 pBCI 设计中方法学可变性的影响。具体重点是针对在双会话期间更换电极(从而导致电极和皮肤表面之间的位置、机电特性和/或阻抗发生变化)对几种机器学习方法在二进制分类问题中的准确性的影响。在研究这些方法学变量时,确定在一个会话中进行训练并在第二个会话中进行测试时,电极套件在会话之间的移除和更换不会影响许多学习方法的准确性。通过与电极套件在会话之间未更换的对照组进行比较,验证了这一发现。这一结果表明,在与 pBCI 系统进行多次交互的过程中,可以移除和更换传感器(包括神经和外围传感器),而不会影响其性能。关于多会话和多天 pBCI 系统使用的未来工作应该寻求在其他任务、时间进程和数据分析方法中复制这种(缺乏)会话间效果,同时还要关注由于内在因素导致的非平稳性和可变分类性能。