Suppr超能文献

含硼酸官能团的聚(酰胺胺)多层薄膜。

Multilayered Thin Films from Boronic Acid-Functional Poly(amido amine)s.

作者信息

Hujaya Sry D, Engbersen Johan F J, Paulusse Jos M J

机构信息

Department of Controlled Drug Delivery, MIRA Institute for Biomedical Technology and Technical Medicine, Faculty of Science and Technology, University of Twente, P.O. Box 217, 7500 AE, Enschede, The Netherlands.

出版信息

Pharm Res. 2015 Sep;32(9):3066-86. doi: 10.1007/s11095-015-1688-0. Epub 2015 Apr 8.

Abstract

PURPOSE

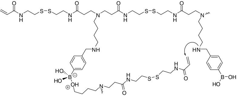
To investigate the properties of phenylboronic acid-functional poly(amido amine) polymers (BA-PAA) in forming multilayered thin films with poly(vinyl alcohol) (PVA) and chondroitin sulfate (ChS), and to evaluate their compatibility with COS-7 cells.

METHODS

Copolymers of phenylboronic acid-functional poly(amido amine)s, differing in the content of primary amine (DAB-BA-PAA) or alcohol (ABOL-BA-PAA) side groups, were synthesized and applied in the formation of multilayers with PVA and ChS. Biocompatibility of the resulting films was evaluated through cell culture experiments with COS-7 cells grown on the films.

RESULTS

PVA-based multilayers were thin, reaching ~100 nm at 10 bilayers, whereas ChS-based multilayers were thick, reaching ~600 nm at the same number of bilayers. All of the multilayers are stable under physiological conditions in vitro and are responsive to reducing agents, owing to the presence of disulfide bonds in the polymers. PVA-based films were demonstrated to be responsive to glucose at physiological pH at the investigated glucose concentrations (10-100 mM). The multilayered films displayed biocompatibility in cell culture experiments, promoting attachment and proliferation of COS-7 cells.

CONCLUSIONS

Responsive thin films based on boronic acid functional poly(amido amine)s are promising biocompatible materials for biomedical applications, such as drug releasing surfaces on stents or implants. Graphical Abstract Layer-by-Layer Assembly.

摘要

目的

研究苯基硼酸功能化聚(酰胺胺)聚合物(BA - PAA)与聚乙烯醇(PVA)和硫酸软骨素(ChS)形成多层薄膜的性质,并评估它们与COS - 7细胞的相容性。

方法

合成了伯胺(DAB - BA - PAA)或醇(ABOL - BA - PAA)侧基含量不同的苯基硼酸功能化聚(酰胺胺)共聚物,并将其应用于与PVA和ChS形成多层膜。通过在膜上培养COS - 7细胞的细胞培养实验评估所得薄膜的生物相容性。

结果

基于PVA的多层膜很薄,在10个双层时达到约100 nm,而基于ChS的多层膜较厚,在相同双层数时达到约600 nm。由于聚合物中存在二硫键,所有多层膜在体外生理条件下都是稳定的,并且对还原剂有响应。在研究的葡萄糖浓度(10 - 100 mM)下,基于PVA的膜在生理pH值下对葡萄糖有响应。多层膜在细胞培养实验中显示出生物相容性,促进了COS - 7细胞的附着和增殖。

结论

基于硼酸功能化聚(酰胺胺)的响应性薄膜是用于生物医学应用的有前途的生物相容性材料,例如支架或植入物上的药物释放表面。图形摘要逐层组装。

https://cdn.ncbi.nlm.nih.gov/pmc/blobs/9eda/4526598/32d48d5a97b6/11095_2015_1688_Figa_HTML.jpg

文献AI研究员

20分钟写一篇综述,助力文献阅读效率提升50倍。

立即体验

用中文搜PubMed

大模型驱动的PubMed中文搜索引擎

马上搜索

文档翻译

学术文献翻译模型,支持多种主流文档格式。

立即体验