Li Jing, Wang Zhu, Yuan Xin, Xu Lichun, Tong Jiandong
Department of Oncology, The Second Clinical School of Yangzhou University (Yangzhou NO.1 People's Hospital), Mid Hanjiang Road, Yangzhou, 225009, Jiangsu Province, People's Republic of China.
Research Center of Cancer Prevention and Treatment, Medical College of Yangzhou University, Number 11, Huaihai Road, Yangzhou, 225001, Jiangsu Province, People's Republic of China.
BMC Cancer. 2015 Feb 25;15:83. doi: 10.1186/s12885-015-1071-x.
The prognostic significance of age in colorectal cancer remains controversial. Our purpose was to determine the impact of age at diagnosis on cause- specific survival and overall survival in patients with colorectal cancer.
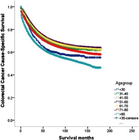
Using Surveillance, Epidemiology, and End Results (SEER) population-based data, we identified 226,430 patients with colorectal cancer diagnosed between 1996 and 2005. Patients were separated into 10-year age groups. Five-year cancer cause-specific survival and overall survival data were obtained. Kaplan-Meier methods were adopted and multivariable Cox regression models were built for the analysis of long-term survival outcomes and risk factors.
In the operated group, those aged 51-60 had the best prognosis with 5-year cause-specific survival of 72.3% and 5-year overall survival of 68.3%.In the non-operated group, those of young age 15-30 had the best prognosis with 5-year cause-specific survival of 21.2% and 5-year overall survival of 18.2%, and there was continued worsening in cause-specific survival and overall survival with increasing age, except for a small increase in the 51-60 age group (P < 0.001). Multivariable analysis demonstrated a statistically significant disadvantage in cause-specific survival in patients older than 60 (P < 0.001), but the difference between the 51-60 age group and the younger age group (15-30, 31-40, 41-50) wasn't statistically significant (P > 0.05) in both operated and non-operated patients.
There was no apparent difference in survival in colorectal cancer patients 60 and younger, but in those older than 60 years, there was worsening in overall survival and cause-specific survival in both operated and non-operated patients.
年龄在结直肠癌中的预后意义仍存在争议。我们的目的是确定诊断时的年龄对结直肠癌患者特定病因生存率和总生存率的影响。
利用基于监测、流行病学和最终结果(SEER)的人群数据,我们确定了1996年至2005年间诊断为结直肠癌的226430例患者。患者被分为10岁年龄组。获得了5年癌症特定病因生存率和总生存率数据。采用Kaplan-Meier方法并建立多变量Cox回归模型用于分析长期生存结果和风险因素。
在手术组中,51 - 60岁的患者预后最佳,5年特定病因生存率为72.3%,5年总生存率为68.3%。在非手术组中,15 - 30岁的年轻患者预后最佳,5年特定病因生存率为21.2%,5年总生存率为18.2%,并且随着年龄的增加,特定病因生存率和总生存率持续恶化,但51 - 60岁年龄组有小幅上升(P < 0.001)。多变量分析显示,60岁以上患者在特定病因生存率方面存在统计学上的显著劣势(P < 0.001),但在手术和非手术患者中,51 - 60岁年龄组与较年轻年龄组(15 - 30岁、31 - 40岁、41 - 50岁)之间的差异无统计学意义(P > 0.05)。
60岁及以下的结直肠癌患者生存率无明显差异,但60岁以上的患者,无论手术与否,总生存率和特定病因生存率均有所恶化。