Suppr超能文献

社区参与对弱势群体公共卫生干预措施的有效性:一项荟萃分析。

The effectiveness of community engagement in public health interventions for disadvantaged groups: a meta-analysis.

作者信息

O'Mara-Eves Alison, Brunton Ginny, Oliver Sandy, Kavanagh Josephine, Jamal Farah, Thomas James

机构信息

Social Science Research Unit, UCL Institute of Education, London, UK.

Institute for Health and Human Development, University of East, London, UK.

出版信息

BMC Public Health. 2015 Feb 12;15:129. doi: 10.1186/s12889-015-1352-y.

Abstract

BACKGROUND

Inequalities in health are acknowledged in many developed countries, whereby disadvantaged groups systematically suffer from worse health outcomes such as lower life expectancy than non-disadvantaged groups. Engaging members of disadvantaged communities in public health initiatives has been suggested as a way to reduce health inequities. This systematic review was conducted to evaluate the effectiveness of public health interventions that engage the community on a range of health outcomes across diverse health issues.

METHODS

We searched the following sources for systematic reviews of public health interventions: Cochrane CDSR and CENTRAL, Campbell Library, DARE, NIHR HTA programme website, HTA database, and DoPHER. Through the identified reviews, we collated a database of primary studies that appeared to be relevant, and screened the full-text documents of those primary studies against our inclusion criteria. In parallel, we searched the NHS EED and TRoPHI databases for additional primary studies. For the purposes of these analyses, study design was limited to randomised and non-randomised controlled trials. Only interventions conducted in OECD countries and published since 1990 were included. We conducted a random effects meta-analysis of health behaviour, health consequences, self-efficacy, and social support outcomes, and a narrative summary of community outcomes. We tested a range of moderator variables, with a particular emphasis on the model of community engagement used as a potential moderator of intervention effectiveness.

RESULTS

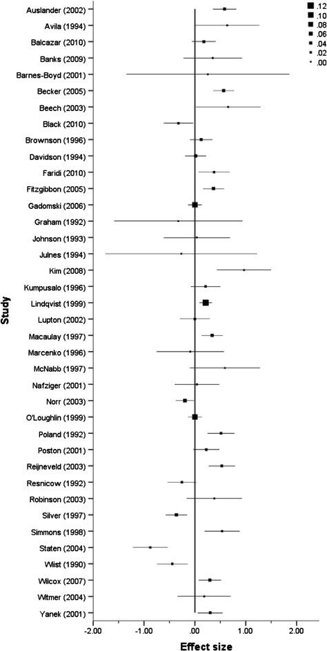
Of the 9,467 primary studies scanned, we identified 131 for inclusion in the meta-analysis. The overall effect size for health behaviour outcomes is d = .33 (95% CI .26, .40). The interventions were also effective in increasing health consequences (d = .16, 95% CI .06, .27); health behaviour self-efficacy (d = .41, 95% CI .16, .65) and perceived social support (d = .41, 95% CI .23, .65). Although the type of community engagement was not a significant moderator of effect, we identified some trends across studies.

CONCLUSIONS

There is solid evidence that community engagement interventions have a positive impact on a range of health outcomes across various conditions. There is insufficient evidence to determine whether one particular model of community engagement is more effective than any other.

摘要

背景

许多发达国家都认识到健康方面的不平等现象,即弱势群体系统性地比非弱势群体遭受更差的健康结果,如预期寿命更低。让弱势社区成员参与公共卫生倡议被认为是减少健康不平等的一种方式。本系统评价旨在评估让社区参与一系列不同健康问题的公共卫生干预措施在一系列健康结果方面的有效性。

方法

我们在以下来源中搜索公共卫生干预措施的系统评价:Cochrane CDSR和CENTRAL、坎贝尔图书馆、DARE、英国国家卫生研究院卫生技术评估计划网站、卫生技术评估数据库和DoPHER。通过已识别的评价,我们整理了一个似乎相关的原始研究数据库,并根据纳入标准筛选这些原始研究的全文文档。同时,我们在英国国家卫生服务经济评价数据库和TRoPHI数据库中搜索其他原始研究。为了这些分析的目的,研究设计限于随机和非随机对照试验。仅纳入1990年以来在经合组织国家开展并发表的干预措施。我们对健康行为、健康后果、自我效能和社会支持结果进行了随机效应荟萃分析,并对社区结果进行了叙述性总结。我们测试了一系列调节变量,特别强调将社区参与模式作为干预效果的潜在调节因素。

结果

在筛选的9467项原始研究中,我们确定了131项纳入荟萃分析。健康行为结果的总体效应量为d = 0.33(95%可信区间0.26,0.40)。这些干预措施在改善健康后果(d = 0.16,95%可信区间0.06,0.27)、健康行为自我效能(d = 0.41,95%可信区间0.16,0.65)和感知社会支持(d = 0.41,95%可信区间0.23,0.65)方面也有效。尽管社区参与类型不是效应的显著调节因素,但我们在各项研究中发现了一些趋势。

结论

有确凿证据表明,社区参与干预措施对各种情况下的一系列健康结果有积极影响。没有足够的证据来确定一种特定的社区参与模式是否比其他模式更有效。

https://cdn.ncbi.nlm.nih.gov/pmc/blobs/aa3a/4374501/3562ddb310fc/12889_2015_1352_Fig1_HTML.jpg

文献AI研究员

20分钟写一篇综述,助力文献阅读效率提升50倍。

立即体验

用中文搜PubMed

大模型驱动的PubMed中文搜索引擎

马上搜索

文档翻译

学术文献翻译模型,支持多种主流文档格式。

立即体验