Suppr超能文献

钙调神经磷酸酶抑制剂会不同程度地改变移植受者体内T细胞功能的昼夜节律。

Calcineurin inhibitors differentially alter the circadian rhythm of T-cell functionality in transplant recipients.

作者信息

Leyking Sarah, Budich Karin, van Bentum Kai, Thijssen Stephan, Abdul-Khaliq Hashim, Fliser Danilo, Sester Martina, Sester Urban

机构信息

Department of Internal Medicine IV, Saarland University, Homburg, Germany.

Department of Transplant and Infection Immunology, Saarland University, D-66421, Homburg, Germany.

出版信息

J Transl Med. 2015 Feb 6;13:51. doi: 10.1186/s12967-015-0420-5.

Abstract

BACKGROUND

Graft survival in transplant recipients depends on pharmacokinetics and on individual susceptibility towards immunosuppressive drugs. Nevertheless, pharmacodynamic changes in T-cell functionality in response to drugs and in relation to pharmacokinetics are poorly characterized. We therefore investigated the immunosuppressive effect of calcineurin inhibitors and steroids on general T-cell functionality after polyclonal stimulation of whole blood samples.

METHODS

General T-cell functionality in the absence or presence of immunosuppressive drugs was determined in vitro directly from whole blood based on cytokine induction after stimulation with the polyclonal stimulus Staphylococcus aureus enterotoxin B. In addition, diurnal changes in leukocyte and lymphocyte subsets, and on T-cell function after intake of immunosuppressive drugs were analyzed in 19 patients during one day and compared to respective kinetics in six immunocompetent controls. Statistical analysis was performed using non-parametric and parametric tests.

RESULTS

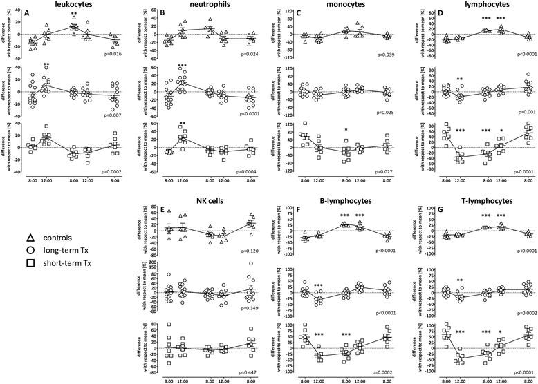
Susceptibility towards calcineurin inhibitors showed interindividual differences. When combined with steroids, tacrolimus led to more pronounced increase in the inhibitory activity as compared to cyclosporine A. While circadian alterations in leukocyte subpopulations and T-cell function in controls were related to endogenous cortisol levels, T-cell functionality in transplant recipients decreased after intake of the morning medication, which was more pronounced in patients with higher drug-dosages. Interestingly, calcineurin inhibitors differentially affected circadian rhythm of T-cell function, as patients on cyclosporine A showed a biphasic decrease in T-cell reactivity after drug-intake in the morning and evening, whereas T-cell reactivity in patients on tacrolimus remained rather stable.

CONCLUSIONS

The whole blood assay allows assessment of the inhibitory activity of immunosuppressive drugs in clinically relevant concentrations. Circadian alterations in T-cell function are determined by dose and type of immunosuppressive drugs and show distinct differences between cyclosporine A and tacrolimus. In future these findings may have practical implications to estimate the net immunosuppressive effect of a given drug-regimen that daily acts in an individual patient, and may contribute to individualize immunosuppression.

摘要

背景

移植受者体内移植物的存活取决于药代动力学以及个体对免疫抑制药物的易感性。然而,T细胞功能在药物作用下以及与药代动力学相关的药效学变化却鲜有明确描述。因此,我们研究了钙调神经磷酸酶抑制剂和类固醇对全血样本多克隆刺激后一般T细胞功能的免疫抑制作用。

方法

在体外直接从全血中测定免疫抑制药物存在或不存在时的一般T细胞功能,该测定基于用多克隆刺激物金黄色葡萄球菌肠毒素B刺激后的细胞因子诱导。此外,分析了19例患者在一天内白细胞和淋巴细胞亚群的昼夜变化以及服用免疫抑制药物后T细胞功能的变化,并与6名免疫功能正常的对照者的相应动力学进行比较。使用非参数和参数检验进行统计分析。

结果

对钙调神经磷酸酶抑制剂的易感性存在个体差异。与环孢素A相比,他克莫司与类固醇联合使用时导致抑制活性的增加更为明显。虽然对照组中白细胞亚群和T细胞功能的昼夜变化与内源性皮质醇水平有关,但移植受者在服用早晨药物后T细胞功能下降,在药物剂量较高的患者中更为明显。有趣的是,钙调神经磷酸酶抑制剂对T细胞功能的昼夜节律有不同影响,因为服用环孢素A的患者在早晨和晚上服药后T细胞反应性呈双相下降,而服用他克莫司的患者T细胞反应性保持相对稳定。

结论

全血检测可评估临床相关浓度下免疫抑制药物的抑制活性。T细胞功能的昼夜变化由免疫抑制药物的剂量和类型决定,并且在环孢素A和他克莫司之间表现出明显差异。未来,这些发现可能对估计给定药物方案在个体患者中每日发挥作用的净免疫抑制效果具有实际意义,并可能有助于实现免疫抑制的个体化。

https://cdn.ncbi.nlm.nih.gov/pmc/blobs/ef5d/4329209/bc0cf7d36603/12967_2015_420_Fig1_HTML.jpg

文献AI研究员

20分钟写一篇综述,助力文献阅读效率提升50倍。

立即体验

用中文搜PubMed

大模型驱动的PubMed中文搜索引擎

马上搜索

文档翻译

学术文献翻译模型,支持多种主流文档格式。

立即体验