Suppr超能文献

多次静脉注射同种异体马间充质干细胞不会引发全身性炎症反应,但会改变健康马匹的淋巴细胞亚群。

Multiple intravenous injections of allogeneic equine mesenchymal stem cells do not induce a systemic inflammatory response but do alter lymphocyte subsets in healthy horses.

作者信息

Kol Amir, Wood Joshua A, Carrade Holt Danielle D, Gillette Jessica A, Bohannon-Worsley Laurie K, Puchalski Sarah M, Walker Naomi J, Clark Kaitlin C, Watson Johanna L, Borjesson Dori L

机构信息

Department of Pathology, Microbiology and Immunology, School of Veterinary Medicine, University of California, One Shields Avenue, Davis, CA, 95616, USA.

Department of Surgical and Radiological Sciences, School of Veterinary Medicine, University of California, Davis, CA, 95616, USA.

出版信息

Stem Cell Res Ther. 2015 Apr 15;6(1):73. doi: 10.1186/s13287-015-0050-0.

Abstract

INTRODUCTION

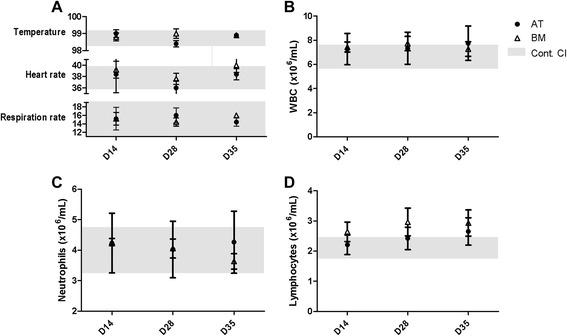
Intravenous (IV) injection of mesenchymal stem cells (MSCs) is used to treat systemic human diseases and disorders but is not routinely used in equine therapy. In horses, MSCs are isolated primarily from adipose tissue (AT) or bone marrow (BM) and used for treatment of orthopedic injuries through one or more local injections. The objective of this study was to determine the safety and lymphocyte response to multiple allogeneic IV injections of either AT-derived MSCs (AT-MSCs) or BM-derived MSCs (BM-MSCs) to healthy horses.

METHODS

We injected three doses of 25 × 10(6) allogeneic MSCs from either AT or BM (a total of 75 × 10(6) MSCs per horse) into five and five, respectively, healthy horses. Horses were followed up for 35 days after the first MSC infusion. We evaluated host inflammatory and immune response, including total leukocyte numbers, serum cytokine concentration, and splenic lymphocyte subsets.

RESULTS

Repeated injection of allogeneic AT-MSCs or BM-MSCs did not elicit any clinical adverse effects. Repeated BM-MSC injection resulted in increased blood CD8(+) T-cell numbers. Multiple BM-MSC injections also increased splenic regulatory T cell numbers compared with AT-MSC-injected horses but not controls.

CONCLUSIONS

These data demonstrate that multiple IV injections of allogeneic MSCs are well tolerated by healthy horses. No clinical signs or clinico-pathologic measurements of organ toxicity or systemic inflammatory response were recorded. Increased numbers of circulating CD8(+) T cells after multiple IV injections of allogeneic BM-MSCs may indicate a mild allo-antigen-directed cytotoxic response. Safety and efficacy of allogeneic MSC IV infusions in sick horses remain to be determined.

摘要

引言

静脉注射间充质干细胞(MSCs)用于治疗人类全身性疾病和病症,但在马的治疗中并非常规使用。在马中,MSCs主要从脂肪组织(AT)或骨髓(BM)中分离出来,并通过一次或多次局部注射用于治疗骨科损伤。本研究的目的是确定健康马匹多次静脉注射异体AT来源的MSCs(AT-MSCs)或BM来源的MSCs(BM-MSCs)后的安全性和淋巴细胞反应。

方法

我们分别向5匹健康马注射了三剂来自AT或BM的25×10⁶异体MSCs(每匹马总共75×10⁶ MSCs)。在首次输注MSCs后对马匹进行了35天的随访。我们评估了宿主的炎症和免疫反应,包括白细胞总数、血清细胞因子浓度和脾淋巴细胞亚群。

结果

重复注射异体AT-MSCs或BM-MSCs未引发任何临床不良反应。重复注射BM-MSCs导致血液中CD8⁺ T细胞数量增加。与注射AT-MSCs的马匹相比,多次注射BM-MSCs也增加了脾调节性T细胞数量,但与对照组相比无差异。

结论

这些数据表明,健康马匹对多次静脉注射异体MSCs具有良好的耐受性。未记录到器官毒性或全身炎症反应的临床体征或临床病理测量结果。多次静脉注射异体BM-MSCs后循环CD8⁺ T细胞数量增加可能表明存在轻度的同种异体抗原定向细胞毒性反应。异体MSCs静脉输注在患病马匹中的安全性和有效性仍有待确定。

https://cdn.ncbi.nlm.nih.gov/pmc/blobs/b120/4446064/2bfaef625b49/13287_2015_50_Fig1_HTML.jpg

文献AI研究员

20分钟写一篇综述,助力文献阅读效率提升50倍。

立即体验

用中文搜PubMed

大模型驱动的PubMed中文搜索引擎

马上搜索

文档翻译

学术文献翻译模型,支持多种主流文档格式。

立即体验