Ham Suyun, Popovics John S
Department of Civil and Environmental Engineering, The University of Illinois at Urbana-Champaign, 205 N. Mathews Ave, MC-250, Urbana, IL 61801, USA.
Sensors (Basel). 2015 Apr 17;15(4):9078-96. doi: 10.3390/s150409078.
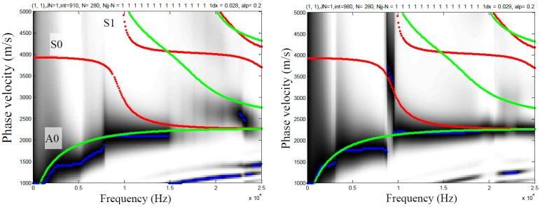
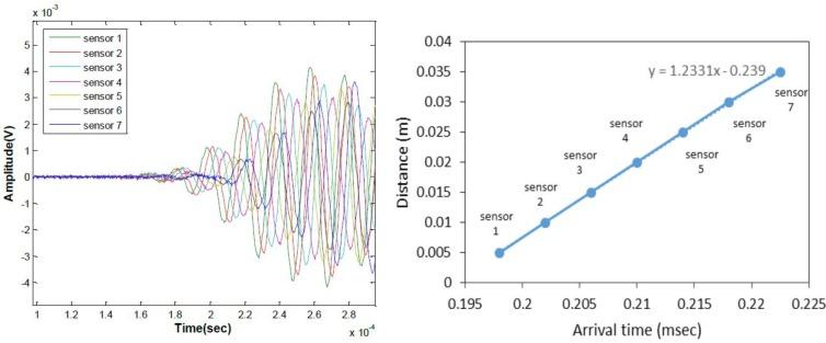
The utility of micro-electro-mechanical sensors (MEMS) for application in air-coupled (contactless or noncontact) sensing to concrete nondestructive testing (NDT) is studied in this paper. The fundamental operation and characteristics of MEMS are first described. Then application of MEMS sensors toward established concrete test methods, including vibration resonance, impact-echo, ultrasonic surface wave, and multi-channel analysis of surface waves (MASW), is demonstrated. In each test application, the performance of MEMS is compared with conventional contactless and contact sensing technology. Favorable performance of the MEMS sensors demonstrates the potential of the technology for applied contactless NDT efforts.
To illustrate the utility of air-coupled MEMS sensors for concrete NDT, as compared with conventional sensor technology.
本文研究了微机电传感器(MEMS)在空气耦合(非接触式)传感应用于混凝土无损检测(NDT)中的效用。首先描述了MEMS的基本操作和特性。然后展示了MEMS传感器在既定混凝土测试方法中的应用,包括振动共振、冲击回波、超声表面波和表面波多通道分析(MASW)。在每个测试应用中,将MEMS的性能与传统非接触式和接触式传感技术进行了比较。MEMS传感器的良好性能证明了该技术在应用非接触式无损检测方面的潜力。
与传统传感器技术相比,说明空气耦合MEMS传感器在混凝土无损检测中的效用。