Suppr超能文献

十年管理模式对盐碱化草地土壤种子库的影响。

Effects of 10-year management regimes on the soil seed bank in saline-alkaline grassland.

作者信息

Ma Hongyuan, Yang Haoyu, Liang Zhengwei, Ooi Mark K J

机构信息

Northeast Institute of Geography and Agroecology, Chinese Academy of Sciences, Changchun, China; Da'anSodic Land Experiment Station of China, Da'an, China.

Institute for Conservation Biology, School of Biological Sciences, University of Wollongong, Wollongong, Australia.

出版信息

PLoS One. 2015 Apr 22;10(4):e0122319. doi: 10.1371/journal.pone.0122319. eCollection 2015.

Abstract

BACKGROUND

Management regimes for vegetation restoration of degraded grasslands can significantly affect the process of ecological succession. However, few studies have focused on variation in the soil seed bank during vegetation restoration under different management regimes, especially in saline-alkaline grassland habitats. Our aim was to provide insights into the ecological effects of grassland management regimes on soil seed bank composition and vegetation establishment in mown, fenced, transplanted and natural grassland sites, all dominated by the perennial rhizomatous grass Leymus chinensis.

METHODOLOGY

We studied species composition and diversity in both the soil seed bank and aboveground vegetation in differently managed grasslands in Northeast China. An NMDS (nonmetric multidimensional scaling) was used to evaluate the relationship between species composition, soil seed banks, aboveground vegetation and soil properties.

PRINCIPAL FINDINGS

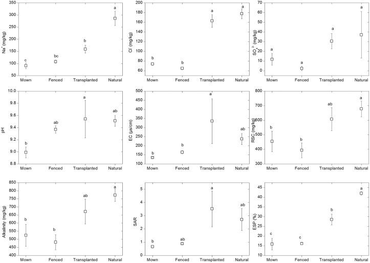
Fenced and mown grassland sites had high density and species richness in both the soil seed bank and aboveground vegetation. The Transplanted treatment exhibited the highest vegetation growth and seed production of the target species L. chinensis. Seeds of L. chinensis in the soil occurred only in transplanted and natural grassland. Based on the NMDS analysis, the number of species in both the soil seed bank and aboveground vegetation were significantly related to soil Na+, Cl-, RSC (residual sodium carbonate), alkalinity, ESP (exchangeable sodium percentage) and AP (available phosphorus).

CONCLUSIONS

Soil seed bank composition and diversity in the saline-alkaline grassland were significantly affected by the management regimes implemented, and were also significantly related to the aboveground vegetation and several soil properties. Based on vegetative growth, reproductive output and maintenance of soil seed bank, the transplanting was identified as the most effective method for relatively rapid restoration of the target species L. chinensis. This approach could be beneficial for the restoration of dominant species in a wide range of degraded grassland ecosystems.

摘要

背景

退化草原植被恢复的管理模式会显著影响生态演替进程。然而,鲜有研究关注不同管理模式下植被恢复过程中土壤种子库的变化,尤其是在盐碱化草原生境中。我们的目的是深入了解割草、围栏、移栽和自然草地等管理模式对以多年生根茎型禾本科植物羊草为主的土壤种子库组成和植被建立的生态影响。

方法

我们研究了中国东北不同管理模式草地土壤种子库和地上植被的物种组成及多样性。采用非度量多维尺度分析(NMDS)评估物种组成、土壤种子库、地上植被与土壤性质之间的关系。

主要发现

围栏和割草草地的土壤种子库和地上植被均具有高密度和物种丰富度。移栽处理的目标物种羊草植被生长和种子产量最高。土壤中的羊草种子仅出现在移栽和自然草地中。基于NMDS分析,土壤种子库和地上植被中的物种数量均与土壤中的钠离子、氯离子、残留碳酸钠、碱度、交换性钠百分比和有效磷显著相关。

结论

盐碱化草地的土壤种子库组成和多样性受实施的管理模式显著影响,且与地上植被及多种土壤性质也显著相关。基于营养生长、生殖输出和土壤种子库维持,移栽被确定为相对快速恢复目标物种羊草的最有效方法。这种方法可能有利于多种退化草原生态系统中优势物种的恢复。

https://cdn.ncbi.nlm.nih.gov/pmc/blobs/5bf9/4406562/6e5d439888e1/pone.0122319.g001.jpg

文献检索

告别复杂PubMed语法,用中文像聊天一样搜索,搜遍4000万医学文献。AI智能推荐,让科研检索更轻松。

立即免费搜索

文件翻译

保留排版,准确专业,支持PDF/Word/PPT等文件格式,支持 12+语言互译。

免费翻译文档

深度研究

AI帮你快速写综述,25分钟生成高质量综述,智能提取关键信息,辅助科研写作。

立即免费体验