Würfel Uli, Neher Dieter, Spies Annika, Albrecht Steve
Department of Dye and Organic Solar Cells, Fraunhofer Institute for Solar Energy Systems ISE, Heidenhofstrasse 2, 79100 Freiburg, Germany.
Material Research Centre FMF, University of Freiburg, 79104 Freiburg, Germany.
Nat Commun. 2015 Apr 24;6:6951. doi: 10.1038/ncomms7951.
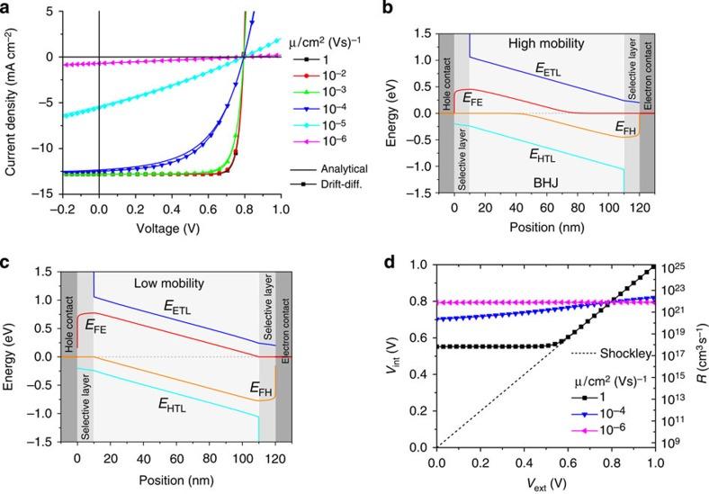
This work elucidates the impact of charge transport on the photovoltaic properties of organic solar cells. Here we show that the analysis of current-voltage curves of organic solar cells under illumination with the Shockley equation results in values for ideality factor, photocurrent and parallel resistance, which lack physical meaning. Drift-diffusion simulations for a wide range of charge-carrier mobilities and illumination intensities reveal significant carrier accumulation caused by poor transport properties, which is not included in the Shockley equation. As a consequence, the separation of the quasi Fermi levels in the organic photoactive layer (internal voltage) differs substantially from the external voltage for almost all conditions. We present a new analytical model, which considers carrier transport explicitly. The model shows excellent agreement with full drift-diffusion simulations over a wide range of mobilities and illumination intensities, making it suitable for realistic efficiency predictions for organic solar cells.
这项工作阐明了电荷传输对有机太阳能电池光伏性能的影响。在此我们表明,用肖克利方程分析光照下有机太阳能电池的电流-电压曲线会得出理想因子、光电流和并联电阻的值,而这些值缺乏物理意义。针对广泛的电荷载流子迁移率和光照强度进行的漂移-扩散模拟表明,传输特性不佳会导致显著的载流子积累,而这并未包含在肖克利方程中。因此,在几乎所有条件下,有机光活性层中的准费米能级分离(内电压)与外电压都有很大差异。我们提出了一个新的分析模型,该模型明确考虑了载流子传输。该模型在广泛的迁移率和光照强度范围内与全漂移-扩散模拟结果显示出极好的一致性,使其适用于对有机太阳能电池进行实际效率预测。