Suppr超能文献

微型种植体植入后微裂纹愈合的组织形态计量学分析

Histomorphometric analysis of microcrack healing after the installation of mini-implants.

作者信息

Shin Soobin, Park Pan-Soo, Baek Seung-Hak, Yang Il-Hyung

机构信息

Department of Orthodontics and Dental Research Institute, Seoul National University School of Dentistry, Seoul, Korea.

出版信息

J Periodontal Implant Sci. 2015 Apr;45(2):62-8. doi: 10.5051/jpis.2015.45.2.62. Epub 2015 Apr 29.

Abstract

PURPOSE

The goal of this study was to investigate the histomorphometric characteristics of the healing process of microcracks in the cortical bone after the installation of mini-implants (MIs).

METHODS

Self-drilling MIs were inserted into the tibial diaphysis of twelve adult male New Zealand rabbits. Four MIs per rabbit were placed randomly. The animals were divided into four groups according to the length of the healing period: group A was sacrificed immediately, group B was sacrificed after one week, group C was sacrificed after two weeks, and group D was sacrificed after four weeks. Cortical bone thickness was measured using micro-computed tomography, and histomorphometric analyses of the cumulative length of the microcracks (CLCr) and the total number of microcracks (NCr) were performed using hematoxylin and eosin staining.

RESULTS

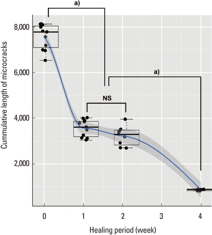
The microcracks were radially and concentrically aligned in the peri-MI bone. The CLCr decreased significantly one week after the surgery, mainly due to healing of the concentrically aligned microcracks. The CLCr showed another significant decrease from two weeks after the surgery to four weeks after the surgery, mainly reflecting healing of the radially aligned microcracks. A statistically significant decrease in the NCr occurred as the microcracks healed from zero weeks to two weeks. However, no significant difference in the NCr was found between groups C and D.

CONCLUSIONS

In order to improve the primary stability of MIs, delayed loading and a healing period of a certain length are recommended to ensure the optimal healing of microcracks and bone remodeling.

摘要

目的

本研究的目的是调查微型种植体(MIs)植入后皮质骨微裂纹愈合过程的组织形态计量学特征。

方法

将自攻型微型种植体植入12只成年雄性新西兰兔的胫骨干。每只兔子随机植入4个微型种植体。根据愈合期的长短将动物分为四组:A组立即处死,B组在一周后处死,C组在两周后处死,D组在四周后处死。使用微型计算机断层扫描测量皮质骨厚度,并使用苏木精和伊红染色对微裂纹的累积长度(CLCr)和微裂纹总数(NCr)进行组织形态计量学分析。

结果

微裂纹在微型种植体周围的骨中呈放射状和同心排列。术后一周CLCr显著下降,主要是由于同心排列的微裂纹愈合。从术后两周到术后四周,CLCr又出现显著下降,主要反映了放射状排列的微裂纹的愈合。随着微裂纹从0周愈合到2周,NCr出现统计学显著下降。然而,C组和D组之间在NCr上没有发现显著差异。

结论

为了提高微型种植体的初始稳定性,建议延迟加载并给予一定长度的愈合期,以确保微裂纹的最佳愈合和骨重塑。

https://cdn.ncbi.nlm.nih.gov/pmc/blobs/28e7/4415003/d9c9affa3b11/jpis-45-62-g001.jpg

文献AI研究员

20分钟写一篇综述,助力文献阅读效率提升50倍。

立即体验

用中文搜PubMed

大模型驱动的PubMed中文搜索引擎

马上搜索

文档翻译

学术文献翻译模型,支持多种主流文档格式。

立即体验