Suppr超能文献

铁杉灵芝的三萜类化合物和多糖组分对抗过敏活性具有不同作用。

Triterpenoids and Polysaccharide Fractions of Ganoderma tsugae Exert Different Effects on Antiallergic Activities.

作者信息

Chen Miaw-Ling, Hsieh Chia-Chien, Chiang Bor-Luen, Lin Bi-Fong

机构信息

Department of Nutrition and Health Sciences, College of Health Sciences, Chang Jung Christian University, No. 1 Changda Road, Gueiren District, Tainan 71101, Taiwan.

Department of Human Development and Family Studies, College of Education, National Taiwan Normal University, No. 162 Hepting East Road, Section 1, Taipei 10610, Taiwan.

出版信息

Evid Based Complement Alternat Med. 2015;2015:754836. doi: 10.1155/2015/754836. Epub 2015 Apr 19.

Abstract

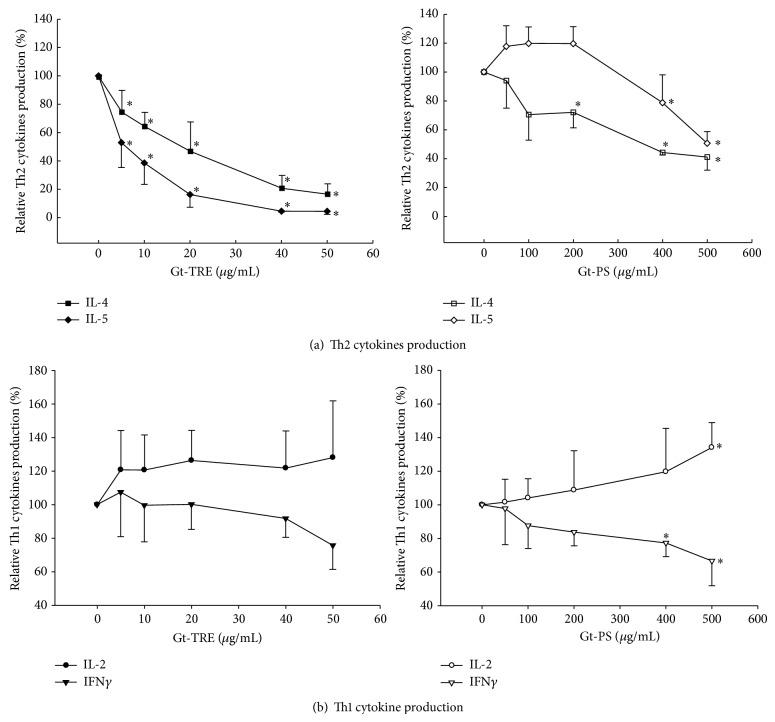
This study was to investigate antiallergic effects of triterpenoids (Gt-TRE) and polysaccharide (Gt-PS) extracts from Ganoderma tsugae, using mast cell line RBL-2H3, T cell line EL4, primary T cells, and transfected RAW264.7 macrophage cells. The results showed that histamine secreted from activated RBL-2H3 mast cells was significantly suppressed by Gt-TRE but not Gt-PS. Interleukin- (IL-) 4 secreted from activated EL4 cells was significantly suppressed by Gt-TRE but not Gt-PS. Further primary CD4(+) T cells cultures also confirmed that Gt-TRE (5 ~ 50 µg/mL) significantly suppressed Th2 cytokines IL-4 and IL-5 secretions but had no effect on Th1 cytokines IL-2 and interferon (IFN)-γ. Gt-PS did not affect IL-4 and IL-5 secretions until higher doses (400, 500 µg/mL) and significantly suppressed IFNγ secretions but enhanced IL-2 at these high doses. The reporter gene assay indicated that Gt-TRE inhibited but Gt-PS enhanced the transcriptional activity of NF-κB in activated transfected RAW264.7 cells and transfected EL4 cells. IL-4 secreted by this transfected EL-4 cells was also significantly decreased by Gt-TRE but not by Gt-PS, suggesting that these two fractions may exert different effects on NF-κB related cytokines expression. These data suggested that triterpenoids fraction of Ganoderma tsugae might be the main constituents to alleviate allergic asthma.

摘要

本研究旨在利用肥大细胞系RBL-2H3、T细胞系EL4、原代T细胞以及转染的RAW264.7巨噬细胞,研究云杉灵芝三萜类化合物(Gt-TRE)和多糖(Gt-PS)提取物的抗过敏作用。结果显示,Gt-TRE可显著抑制活化的RBL-2H3肥大细胞分泌组胺,而Gt-PS则无此作用。Gt-TRE可显著抑制活化的EL4细胞分泌白细胞介素-(IL-)4,而Gt-PS则无此作用。进一步的原代CD4(+) T细胞培养也证实,Gt-TRE(5~50μg/mL)可显著抑制Th2细胞因子IL-4和IL-5的分泌,但对Th1细胞因子IL-2和干扰素(IFN)-γ无影响。Gt-PS在高剂量(400、500μg/mL)时才会影响IL-4和IL-5的分泌,并显著抑制IFNγ的分泌,但在这些高剂量下会增强IL-2的分泌。报告基因检测表明,Gt-TRE在活化的转染RAW264.7细胞和转染的EL4细胞中可抑制NF-κB的转录活性,而Gt-PS则增强其活性。Gt-TRE可显著降低该转染EL-4细胞分泌的IL-4,而Gt-PS则无此作用,这表明这两个组分可能对NF-κB相关细胞因子的表达产生不同影响。这些数据表明,云杉灵芝的三萜类组分可能是缓解过敏性哮喘的主要成分。

https://cdn.ncbi.nlm.nih.gov/pmc/blobs/df60/4417579/3cd2e92feaa4/ECAM2015-754836.001.jpg

文献检索

告别复杂PubMed语法,用中文像聊天一样搜索,搜遍4000万医学文献。AI智能推荐,让科研检索更轻松。

立即免费搜索

文件翻译

保留排版,准确专业,支持PDF/Word/PPT等文件格式,支持 12+语言互译。

免费翻译文档

深度研究

AI帮你快速写综述,25分钟生成高质量综述,智能提取关键信息,辅助科研写作。

立即免费体验