Suppr超能文献

与孢子丝菌复合体临床分离株毒力相关的表型特征。

Phenotypic characteristics associated with virulence of clinical isolates from the Sporothrix complex.

作者信息

Almeida-Paes Rodrigo, de Oliveira Luã Cardoso, Oliveira Manoel Marques Evangelista, Gutierrez-Galhardo Maria Clara, Nosanchuk Joshua Daniel, Zancopé-Oliveira Rosely Maria

机构信息

Laboratório de Micologia, Instituto Nacional de Infectologia Evandro Chagas, Fundação Oswaldo Cruz, Avenida Brasil 4365, 21045-900 Manguinhos, RJ, Brazil.

Laboratório de Dermatologia Infecciosa, Instituto Nacional de Infectologia Evandro Chagas, Fundação Oswaldo Cruz, Avenida Brasil 4365, 21045-900 Manguinhos, RJ, Brazil.

出版信息

Biomed Res Int. 2015;2015:212308. doi: 10.1155/2015/212308. Epub 2015 Apr 19.

Abstract

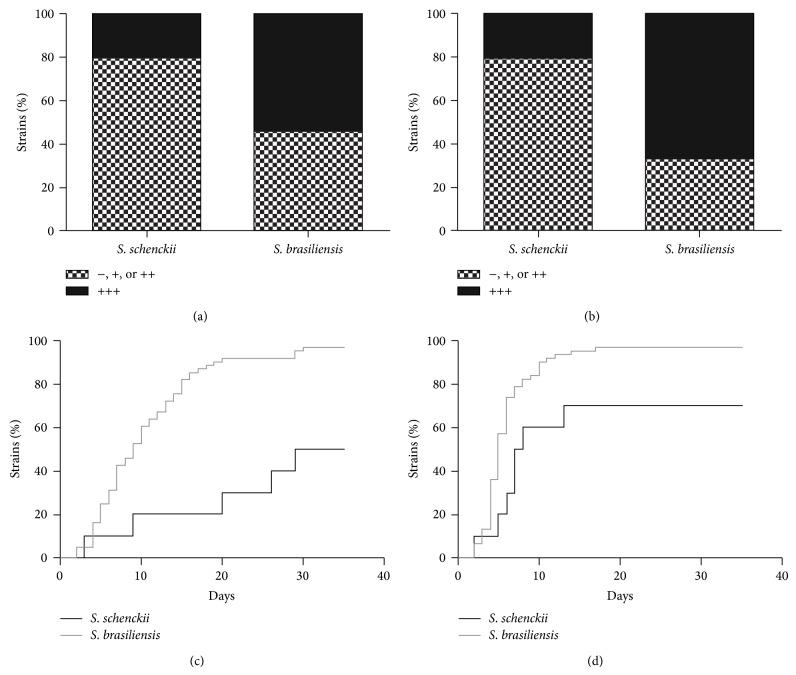
The Sporothrix complex members cause sporotrichosis, a subcutaneous mycosis with a wide spectrum of clinical manifestations. Several specific phenotypic characteristics are associated with virulence in many fungi, but studies in this field involving the Sporothrix complex species are scarce. Melanization, thermotolerance, and production of proteases, catalase, and urease were investigated in 61 S. brasiliensis, one S. globosa, and 10 S. schenckii strains. The S. brasiliensis strains showed a higher expression of melanin and urease compared with S. schenckii. These two species, however, presented similar thermotolerances. Our S. globosa strain had low expression of all studied virulence factors. The relationship between these phenotypes and clinical aspects of sporotrichosis was also evaluated. Strains isolated from patients with spontaneous regression of infection were heavily melanized and produced high urease levels. Melanin was also related to dissemination of internal organs and protease production was associated with HIV-coinfection. A murine sporotrichosis model showed that a S. brasiliensis strain with high expression of virulence factors was able to disseminate and yield a high fungal burden in comparison with a control S. schenckii strain. Our results show that virulence-related phenotypes are variably expressed within the Sporothrix complex species and might be involved in clinical aspects of sporotrichosis.

摘要

申克孢子丝菌复合体成员可引起孢子丝菌病,这是一种具有广泛临床表现的皮下真菌病。在许多真菌中,一些特定的表型特征与毒力相关,但在该领域涉及申克孢子丝菌复合体物种的研究却很少。我们对61株巴西孢子丝菌、1株球形孢子丝菌和10株申克孢子丝菌菌株的黑化作用、耐热性以及蛋白酶、过氧化氢酶和脲酶的产生情况进行了研究。与申克孢子丝菌相比,巴西孢子丝菌菌株显示出更高的黑色素和脲酶表达。然而,这两个物种表现出相似的耐热性。我们的球形孢子丝菌菌株所有研究的毒力因子表达都很低。我们还评估了这些表型与孢子丝菌病临床特征之间的关系。从感染自发消退患者中分离出的菌株黑色素沉着严重且脲酶水平高。黑色素还与内脏播散有关,蛋白酶产生与HIV合并感染有关。一个小鼠孢子丝菌病模型显示,与对照申克孢子丝菌菌株相比,一株毒力因子高表达的巴西孢子丝菌菌株能够播散并产生高真菌负荷。我们的结果表明,与毒力相关的表型在申克孢子丝菌复合体物种中存在不同表达,可能与孢子丝菌病的临床特征有关。

https://cdn.ncbi.nlm.nih.gov/pmc/blobs/b193/4417584/3f393806fc06/BMRI2015-212308.001.jpg

文献AI研究员

20分钟写一篇综述,助力文献阅读效率提升50倍。

立即体验

用中文搜PubMed

大模型驱动的PubMed中文搜索引擎

马上搜索

文档翻译

学术文献翻译模型,支持多种主流文档格式。

立即体验