Suppr超能文献

低频电磁场预处理可保护离体大鼠心脏免受缺血/再灌注损伤及收缩功能障碍。

Low Frequency Electromagnetic Field Conditioning Protects against I/R Injury and Contractile Dysfunction in the Isolated Rat Heart.

作者信息

Bialy Dariusz, Wawrzynska Magdalena, Bil-Lula Iwona, Krzywonos-Zawadzka Anna, Wozniak Mieczyslaw, Cadete Virgilio J J, Sawicki Grzegorz

机构信息

Department and Clinic of Cardiology, Medical University of Wroclaw, 50-556 Wroclaw, Poland.

Department of Medical Emergency, Medical University of Wroclaw, 51-616 Wroclaw, Poland.

出版信息

Biomed Res Int. 2015;2015:396593. doi: 10.1155/2015/396593. Epub 2015 Apr 15.

Abstract

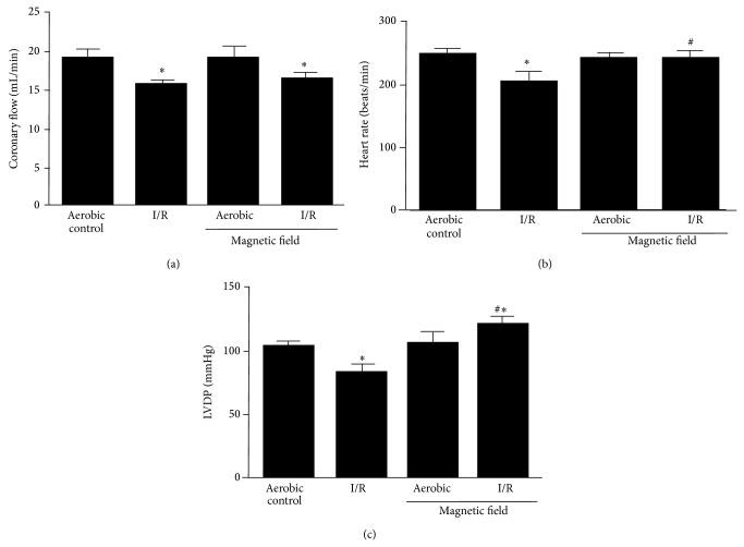
Low frequency electromagnetic field (LF-EMF) decreases the formation of reactive oxygen species, which are key mediators of ischemia/reperfusion (I/R) injury. Therefore, we hypothesized that the LF-EMF protects contractility of hearts subjected to I/R injury. Isolated rat hearts were subjected to 20 min of global no-flow ischemia, followed by 30 min reperfusion, in the presence or absence of LF-EMF. Coronary flow, heart rate, left ventricular developed pressure (LVDP), and rate pressure product (RPP) were determined for evaluation of heart mechanical function. The activity of cardiac matrix metalloproteinase-2 (MMP-2) and the contents of coronary effluent troponin I (TnI) and interleukin-6 (IL-6) were measured as markers of heart injury. LF-EMF prevented decreased RPP in I/R hearts, while having no effect on coronary flow. In addition, hearts subjected to I/R exhibited significantly increased LVDP when subjected to LF-EMF. Although TnI and IL-6 levels were increased in I/R hearts, their levels returned to baseline aerobic levels in I/R hearts subjected to LF-EMF. The reduced activity of MMP-2 in I/R hearts was reversed in hearts subjected to LF-EMF. The data presented here indicate that acute exposure to LF-EMF protects mechanical function of I/R hearts and reduces I/R injury.

摘要

低频电磁场(LF-EMF)可减少活性氧的形成,而活性氧是缺血/再灌注(I/R)损伤的关键介质。因此,我们推测LF-EMF可保护遭受I/R损伤的心脏的收缩功能。将离体大鼠心脏在有或无LF-EMF的情况下进行20分钟的全心无血流缺血,然后再灌注30分钟。测定冠状动脉血流量、心率、左心室舒张末压(LVDP)和速率压力乘积(RPP)以评估心脏机械功能。测量心脏基质金属蛋白酶-2(MMP-2)的活性以及冠状动脉流出液中肌钙蛋白I(TnI)和白细胞介素-6(IL-6)的含量作为心脏损伤的标志物。LF-EMF可防止I/R心脏中RPP降低,而对冠状动脉血流量无影响。此外,遭受I/R的心脏在接受LF-EMF时LVDP显著增加。尽管I/R心脏中TnI和IL-6水平升高,但在接受LF-EMF的I/R心脏中,它们的水平恢复到基线有氧水平。I/R心脏中MMP-2活性降低在接受LF-EMF的心脏中得到逆转。此处呈现的数据表明,急性暴露于LF-EMF可保护I/R心脏的机械功能并减少I/R损伤。

https://cdn.ncbi.nlm.nih.gov/pmc/blobs/ed25/4414265/171be519fabb/BMRI2015-396593.001.jpg

文献AI研究员

20分钟写一篇综述,助力文献阅读效率提升50倍。

立即体验

用中文搜PubMed

大模型驱动的PubMed中文搜索引擎

马上搜索

文档翻译

学术文献翻译模型,支持多种主流文档格式。

立即体验