• 文献检索
  • 文档翻译
  • 深度研究
  • 学术资讯
  • Suppr Zotero 插件Zotero 插件
  • 邀请有礼
  • 套餐&价格
  • 历史记录
应用&插件
Suppr Zotero 插件Zotero 插件浏览器插件Mac 客户端Windows 客户端微信小程序
定价
高级版会员购买积分包购买API积分包
服务
文献检索文档翻译深度研究API 文档MCP 服务
关于我们
关于 Suppr公司介绍联系我们用户协议隐私条款
关注我们

Suppr 超能文献

核心技术专利:CN118964589B侵权必究
粤ICP备2023148730 号-1Suppr @ 2026

文献检索

告别复杂PubMed语法,用中文像聊天一样搜索,搜遍4000万医学文献。AI智能推荐,让科研检索更轻松。

立即免费搜索

文件翻译

保留排版,准确专业,支持PDF/Word/PPT等文件格式,支持 12+语言互译。

免费翻译文档

深度研究

AI帮你快速写综述,25分钟生成高质量综述,智能提取关键信息,辅助科研写作。

立即免费体验

用于不同来源猪间充质干细胞定量基因表达以及向多谱系分化的内参基因选择

Selection of Reference Genes for Quantitative Gene Expression in Porcine Mesenchymal Stem Cells Derived from Various Sources along with Differentiation into Multilineages.

作者信息

Lee Won-Jae, Jeon Ryoung-Hoon, Jang Si-Jung, Park Ji-Sung, Lee Seung-Chan, Baregundi Subbarao Raghavendra, Lee Sung-Lim, Park Bong-Wook, King William Allan, Rho Gyu-Jin

机构信息

Department of Theriogenology and Biotechnology, College of Veterinary Medicine, Gyeongsang National University, 501 Jinju-daero, Jinju 660-701, Republic of Korea ; PWG Genetics Pte Ltd., 15 Tech Park Crescent, Singapore 638117.

Department of Theriogenology and Biotechnology, College of Veterinary Medicine, Gyeongsang National University, 501 Jinju-daero, Jinju 660-701, Republic of Korea.

出版信息

Stem Cells Int. 2015;2015:235192. doi: 10.1155/2015/235192. Epub 2015 Apr 20.

DOI:10.1155/2015/235192
PMID:25972899
原文链接:https://pmc.ncbi.nlm.nih.gov/articles/PMC4417979/
Abstract

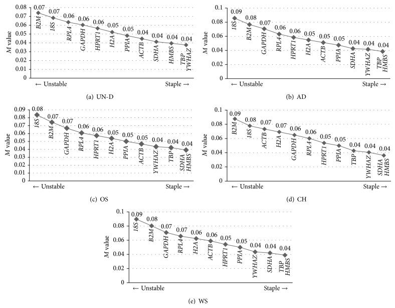
The identification of stable reference genes is a prerequisite for ensuring accurate validation of gene expression, yet too little is known about stable reference genes of porcine MSCs. The present study was, therefore, conducted to assess the stability of reference genes in porcine MSCs derived from bone marrow (BMSCs), adipose (AMSCs), and skin (SMSCs) with their in vitro differentiated cells into mesenchymal lineages such as adipocytes, osteocytes, and chondrocytes. Twelve commonly used reference genes were investigated for their threshold cycle (Ct) values by qRT-PCR. The Ct values of candidate reference genes were analyzed by geNorm software to clarify stable expression regardless of experimental conditions. Thus, Pearson's correlation was applied to determine correlation between the three most stable reference genes (NF3) and optimal number of reference genes (NFopt). In assessment of stability of reference gene across experimental conditions by geNorm analysis, undifferentiated MSCs and each differentiated status into mesenchymal lineages showed slightly different results but similar patterns about more or less stable rankings. Furthermore, Pearson's correlation revealed high correlation (r > 0.9) between NF3 and NFopt. Overall, the present study showed that HMBS, YWHAZ, SDHA, and TBP are suitable reference genes for qRT-PCR in porcine MSCs.

摘要

鉴定稳定的内参基因是确保基因表达准确验证的前提条件,然而对于猪间充质干细胞(MSCs)的稳定内参基因却知之甚少。因此,本研究旨在评估来自骨髓(BMSCs)、脂肪(AMSCs)和皮肤(SMSCs)的猪MSCs及其体外分化为脂肪细胞、骨细胞和软骨细胞等间充质谱系的细胞中内参基因的稳定性。通过qRT-PCR研究了12个常用内参基因的阈值循环(Ct)值。利用geNorm软件分析候选内参基因的Ct值,以阐明无论实验条件如何均能稳定表达。因此,应用Pearson相关性分析来确定三个最稳定的内参基因(NF3)与最佳内参基因数量(NFopt)之间的相关性。通过geNorm分析评估不同实验条件下内参基因的稳定性时,未分化的MSCs以及每种向间充质谱系的分化状态显示出略有不同的结果,但在稳定程度高低排序方面具有相似模式。此外,Pearson相关性分析显示NF3与NFopt之间具有高度相关性(r > 0.9)。总体而言,本研究表明HMBS、YWHAZ、SDHA和TBP是猪MSCs中qRT-PCR合适的内参基因。

https://cdn.ncbi.nlm.nih.gov/pmc/blobs/542d/4417979/991e93357d4a/SCI2015-235192.007.jpg
https://cdn.ncbi.nlm.nih.gov/pmc/blobs/542d/4417979/d487844a432e/SCI2015-235192.001.jpg
https://cdn.ncbi.nlm.nih.gov/pmc/blobs/542d/4417979/c30f5a5e460a/SCI2015-235192.002.jpg
https://cdn.ncbi.nlm.nih.gov/pmc/blobs/542d/4417979/e9df9157a83c/SCI2015-235192.003.jpg
https://cdn.ncbi.nlm.nih.gov/pmc/blobs/542d/4417979/d2e98973ad39/SCI2015-235192.004.jpg
https://cdn.ncbi.nlm.nih.gov/pmc/blobs/542d/4417979/e22308c91866/SCI2015-235192.005.jpg
https://cdn.ncbi.nlm.nih.gov/pmc/blobs/542d/4417979/5908a641d6ea/SCI2015-235192.006.jpg
https://cdn.ncbi.nlm.nih.gov/pmc/blobs/542d/4417979/991e93357d4a/SCI2015-235192.007.jpg
https://cdn.ncbi.nlm.nih.gov/pmc/blobs/542d/4417979/d487844a432e/SCI2015-235192.001.jpg
https://cdn.ncbi.nlm.nih.gov/pmc/blobs/542d/4417979/c30f5a5e460a/SCI2015-235192.002.jpg
https://cdn.ncbi.nlm.nih.gov/pmc/blobs/542d/4417979/e9df9157a83c/SCI2015-235192.003.jpg
https://cdn.ncbi.nlm.nih.gov/pmc/blobs/542d/4417979/d2e98973ad39/SCI2015-235192.004.jpg
https://cdn.ncbi.nlm.nih.gov/pmc/blobs/542d/4417979/e22308c91866/SCI2015-235192.005.jpg
https://cdn.ncbi.nlm.nih.gov/pmc/blobs/542d/4417979/5908a641d6ea/SCI2015-235192.006.jpg
https://cdn.ncbi.nlm.nih.gov/pmc/blobs/542d/4417979/991e93357d4a/SCI2015-235192.007.jpg

相似文献

1
Selection of Reference Genes for Quantitative Gene Expression in Porcine Mesenchymal Stem Cells Derived from Various Sources along with Differentiation into Multilineages.用于不同来源猪间充质干细胞定量基因表达以及向多谱系分化的内参基因选择
Stem Cells Int. 2015;2015:235192. doi: 10.1155/2015/235192. Epub 2015 Apr 20.
2
Appropriate reference gene selection for real-time PCR data normalization during rat mesenchymal stem cell differentiation.大鼠间充质干细胞分化过程中用于实时PCR数据标准化的合适内参基因选择
Cell Mol Biol (Noisy-le-grand). 2012 May 15;58 Suppl:OL1660-70.
3
Selection of suitable reference genes for reverse transcription-quantitative polymerase chain reaction analysis of neuronal cells differentiated from bone mesenchymal stem cells.从骨髓间充质干细胞分化而来的神经元细胞中,用于逆转录-定量聚合酶链反应分析的合适内参基因的选择。
Mol Med Rep. 2015 Aug;12(2):2291-300. doi: 10.3892/mmr.2015.3671. Epub 2015 Apr 23.
4
Housekeeping Gene Stability in Human Mesenchymal Stem and Tendon Cells Exposed to Tenogenic Factors.人骨髓间充质干细胞和成肌腱细胞暴露于肌腱形成因子后管家基因的稳定性。
Tissue Eng Part C Methods. 2018 Jun;24(6):360-367. doi: 10.1089/ten.TEC.2017.0518. Epub 2018 May 16.
5
Identification of reliable reference genes for quantitative real-time PCR in ovary and uterus of laying hens under heat stress.在热应激下对产蛋鸡卵巢和子宫中定量实时 PCR 的可靠参考基因的鉴定。
Stress. 2019 May;22(3):387-394. doi: 10.1080/10253890.2019.1574294. Epub 2019 Feb 26.
6
Validation of suitable reference genes for quantitative polymerase chain reaction analysis in rabbit bone marrow mesenchymal stem cell differentiation.兔骨髓间充质干细胞分化中用于定量聚合酶链反应分析的合适内参基因的验证
Mol Med Rep. 2015 Aug;12(2):2961-8. doi: 10.3892/mmr.2015.3776. Epub 2015 May 12.
7
Identification of common pathways mediating differentiation of bone marrow- and adipose tissue-derived human mesenchymal stem cells into three mesenchymal lineages.介导骨髓和脂肪组织来源的人间充质干细胞分化为三种间充质谱系的共同途径的鉴定。
Stem Cells. 2007 Mar;25(3):750-60. doi: 10.1634/stemcells.2006-0394. Epub 2006 Nov 9.
8
Selection of reference genes for quantitative real-time polymerase chain reaction in porcine embryos.猪胚胎中用于定量实时聚合酶链反应的内参基因的选择
Reprod Fertil Dev. 2017 Feb;29(2):357-367. doi: 10.1071/RD14393.
9
Identification of Suitable Reference Genes for mRNA Studies in Bone Marrow in a Mouse Model of Hematopoietic Stem Cell Transplantation.在造血干细胞移植小鼠模型中鉴定适用于骨髓mRNA研究的内参基因
Transplant Proc. 2016 Oct;48(8):2826-2832. doi: 10.1016/j.transproceed.2016.07.028.
10
Selection of optimal reference genes for quantitative RT-PCR studies of boar spermatozoa cryopreservation.公猪精子冷冻保存定量RT-PCR研究中最佳内参基因的选择
Cryobiology. 2014 Feb;68(1):113-21. doi: 10.1016/j.cryobiol.2014.01.004. Epub 2014 Jan 16.

引用本文的文献

1
Most Suitable Reference Gene for Accurate Normalization of mRNA Expression in Canine Dermal Tissues with Radiation Therapy.在接受放射治疗的犬皮肤组织中,最适合作为 mRNA 表达水平标准化的参考基因。
Genes (Basel). 2022 Oct 23;13(11):1928. doi: 10.3390/genes13111928.
2
PPIA, HPRT1, and YWHAZ are suitable reference genes for quantitative polymerase chain reaction assay of the hypothalamic-pituitary-gonadal axis in sows.PPIA、HPRT1和YWHAZ是用于母猪下丘脑-垂体-性腺轴定量聚合酶链反应分析的合适内参基因。
Anim Biosci. 2022 Dec;35(12):1850-1859. doi: 10.5713/ab.22.0083. Epub 2022 May 2.
3
Mesenchymal stem cell-derived exosomal microRNA-182-5p alleviates myocardial ischemia/reperfusion injury by targeting GSDMD in mice.

本文引用的文献

1
Multilineage potential and proteomic profiling of human dental stem cells derived from a single donor.来源于同一供体的人牙髓干细胞的多能性和蛋白质组分析。
Exp Cell Res. 2014 Jan 1;320(1):92-107. doi: 10.1016/j.yexcr.2013.10.005. Epub 2013 Oct 23.
2
Expression stabilities of candidate reference genes for RT-qPCR under different stress conditions in soybean.大豆不同胁迫条件下实时定量 PCR 候选参考基因的表达稳定性。
PLoS One. 2013 Oct 4;8(10):e75271. doi: 10.1371/journal.pone.0075271. eCollection 2013.
3
Evaluation of suitable reference genes for gene expression studies in porcine PBMCs in response to LPS and LTA.
间充质干细胞衍生的外泌体微小RNA-182-5p通过靶向小鼠中的GSDMD减轻心肌缺血/再灌注损伤。
Cell Death Discov. 2022 Apr 14;8(1):202. doi: 10.1038/s41420-022-00909-6.
4
Human umbilical cord-mesenchymal stem cells-derived exosomes carrying microRNA-15a-5p possess therapeutic effects on Wilms tumor via regulating septin 2.人脐带间充质干细胞来源的外泌体携带 microRNA-15a-5p 通过调节 septin 2 对肾母细胞瘤发挥治疗作用。
Bioengineered. 2022 Mar;13(3):6136-6149. doi: 10.1080/21655979.2022.2037379.
5
IFN- Licensing Does Not Enhance the Reduced Immunomodulatory Potential and Migratory Ability of Differentiation-Induced Porcine Bone Marrow-Derived Mesenchymal Stem Cells in an Xenogeneic Application.IFN- 许可不会增强分化诱导的猪骨髓间充质干细胞在异种应用中的免疫调节潜力降低和迁移能力。
Biomed Res Int. 2021 Sep 4;2021:4604856. doi: 10.1155/2021/4604856. eCollection 2021.
6
Optimizations for identifying reference genes in bone and cartilage bioengineering.用于鉴定骨和软骨生物工程中参考基因的优化方法。
BMC Biotechnol. 2021 Mar 17;21(1):25. doi: 10.1186/s12896-021-00685-8.
7
3D encapsulation and inflammatory licensing of mesenchymal stromal cells alter the expression of common reference genes used in real-time RT-qPCR.3D 包封和间充质基质细胞的炎症许可改变了实时 RT-qPCR 中常用的共同参照基因的表达。
Biomater Sci. 2020 Dec 7;8(23):6741-6753. doi: 10.1039/d0bm01562h. Epub 2020 Nov 2.
8
TATA box binding protein and ribosomal protein 4 are suitable reference genes for normalization during quantitative polymerase chain reaction study in bovine mesenchymal stem cells.TATA 盒结合蛋白和核糖体蛋白4是牛间充质干细胞定量聚合酶链反应研究中用于标准化的合适内参基因。
Asian-Australas J Anim Sci. 2020 Dec;33(12):2021-2030. doi: 10.5713/ajas.20.0238. Epub 2020 Jul 28.
9
PPIA, HPRT1, and YWHAZ Genes Are Suitable for Normalization of mRNA Expression in Long-Term Expanded Human Mesenchymal Stem Cells.PPIA、HPRT1 和 YWHAZ 基因可作为长期扩增的人骨髓间充质干细胞中 mRNA 表达的内参基因。
Biomed Res Int. 2019 May 21;2019:3093545. doi: 10.1155/2019/3093545. eCollection 2019.
10
Validation of suitable reference genes for quantitative gene expression analysis in Tripterygium wilfordii.雷公藤定量基因表达分析中合适内参基因的验证。
Mol Biol Rep. 2019 Aug;46(4):4161-4174. doi: 10.1007/s11033-019-04867-8. Epub 2019 May 20.
评估猪外周血单核细胞中响应脂多糖和脂磷壁酸的基因表达研究的合适内参基因。
BMC Res Notes. 2013 Feb 8;6:56. doi: 10.1186/1756-0500-6-56.
4
What is beyond a qRT-PCR study on mesenchymal stem cell differentiation properties: how to choose the most reliable housekeeping genes.超越 qRT-PCR 研究的间充质干细胞分化特性:如何选择最可靠的管家基因。
J Cell Mol Med. 2013 Jan;17(1):168-80. doi: 10.1111/j.1582-4934.2012.01660.x. Epub 2013 Jan 11.
5
Identification of stable normalization genes for quantitative real-time PCR in porcine articular cartilage.鉴定猪关节软骨定量实时 PCR 中稳定的标准化基因。
J Anim Sci Biotechnol. 2012 Nov 12;3(1):36. doi: 10.1186/2049-1891-3-36.
6
Determination and validation of reference gene stability for qPCR analysis in polysaccharide hydrogel-based 3D chondrocytes and mesenchymal stem cell cultural models.多糖水凝胶基 3D 软骨细胞和间充质干细胞培养模型中 qPCR 分析的参考基因稳定性的确定和验证。
Mol Biotechnol. 2013 Jun;54(2):623-33. doi: 10.1007/s12033-012-9604-x.
7
Transcriptomics comparison between porcine adipose and bone marrow mesenchymal stem cells during in vitro osteogenic and adipogenic differentiation.猪脂肪和骨髓间充质干细胞在体外成骨和成脂分化过程中的转录组学比较。
PLoS One. 2012;7(3):e32481. doi: 10.1371/journal.pone.0032481. Epub 2012 Mar 7.
8
Transplantation of porcine umbilical cord matrix mesenchymal stem cells in a mouse model of Parkinson's disease.猪脐带基质间充质干细胞移植治疗帕金森病模型小鼠。
J Tissue Eng Regen Med. 2013 Mar;7(3):169-82. doi: 10.1002/term.504. Epub 2011 Nov 14.
9
Age-related changes in relative expression stability of commonly used housekeeping genes in selected porcine tissues.所选猪组织中常用看家基因相对表达稳定性的年龄相关变化。
BMC Res Notes. 2011 Oct 24;4:441. doi: 10.1186/1756-0500-4-441.
10
Neurogenic and cardiomyogenic differentiation of mesenchymal stem cells isolated from minipig bone marrow.猪骨髓间充质干细胞的神经和心肌样分化。
Res Vet Sci. 2012 Oct;93(2):749-57. doi: 10.1016/j.rvsc.2011.09.012. Epub 2011 Oct 8.