Suppr超能文献

潜水觅食者的水平和垂直搜索强度:港海豹。

The intensity of horizontal and vertical search in a diving forager: the harbour seal.

机构信息

Institute of Marine Research, Tromsø, Norway ; University of Tromsø, Tromsø, Norway.

University of Tromsø, Tromsø, Norway.

出版信息

Mov Ecol. 2015 May 27;3(1):15. doi: 10.1186/s40462-015-0042-9. eCollection 2015.

Abstract

BACKGROUND

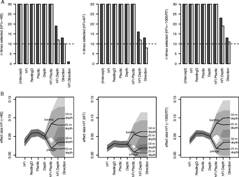
Free ranging foraging animals can vary their searching intensity in response to the profitability of the environment by modifying their movements. Marine diving animals forage in a three dimensional space and searching intensity can be varied in both the horizontal and vertical planes. Therefore understanding the relationship between the allocation of searching effort in these two spaces can provide a better understanding of searching strategies and a more robust identification of foraging behaviour from the multitude of foraging indices (FIs) available. We investigated the movement of a widespread marine coastal predator, the harbour seal (Phoca vitulina), and compared two sets of foraging indices reflecting searching intensity respectively in the horizontal plane (displacement speed, extensive vs. intensive movement types, residence time) and in the vertical dimension (time at the bottom of a dive). We then tested how several factors (dive depth, direction of the trip with respect to haul-out site, different predatory tactics, the presence of factors confounding the detection of foraging, and temporal resolution of the data) affected their relationships.

RESULTS

Overall the indices only showed a very weak positive correlation across the two spaces. However controlling for various factors strengthened the relationships. Resting at sea, a behaviour intrinsically static in the horizontal plane, was found to be strongly negatively related to the time spent at the bottom of the dives, indirectly weakening the relationship between horizontal and vertical foraging indices. Predatory tactic (benthic vs. pelagic) was found to directly affect the relationship. In benthic (as opposed to pelagic) foraging a stronger positive relationship was found between vertical and horizontal indices.

CONCLUSIONS

Our results indicated that movement responses, leading to an intensification of search, are similar in the two spaces (positive relationship), but additional factors need to be taken into account for this relationship to emerge. Foraging indices measuring residence in the horizontal plane tend to be inflated by resting events at sea, while vertical indices tend to distinguish mainly between periods of activity and inactivity, or of benthic and pelagic foraging. The simultaneous consideration of horizontal and vertical movements, as well as topographic information, allows additional behavioural states to be inferred, providing greater insight into the interpretation of foraging activity.

摘要

背景

自由觅食的动物可以通过改变它们的运动来调节搜索强度,以适应环境的盈利能力。海洋潜水动物在三维空间中觅食,搜索强度可以在水平和垂直平面上变化。因此,了解这两个空间中搜索努力的分配关系,可以更好地理解搜索策略,并从众多可用的觅食指数(FI)中更准确地识别觅食行为。我们研究了一种广泛分布的海洋沿海捕食者——港湾海豹(Phoca vitulina)的运动,并比较了两组分别反映水平平面(位移速度、广泛和密集运动类型、停留时间)和垂直维度(潜水底部时间)搜索强度的觅食指数。然后,我们测试了几个因素(潜水深度、相对于上岸点的旅行方向、不同的捕食策略、混淆觅食检测的因素的存在以及数据的时间分辨率)如何影响它们的关系。

结果

总体而言,这些指数在两个空间中仅显示出非常微弱的正相关。然而,控制各种因素可以增强这些关系。在海上休息,这是一种在水平平面上本质上是静态的行为,与潜水底部的时间呈强烈的负相关,间接削弱了水平和垂直觅食指数之间的关系。捕食策略(底栖与浮游)被发现直接影响这种关系。在底栖(相对于浮游)觅食中,发现垂直和水平指数之间存在更强的正相关关系。

结论

我们的结果表明,导致搜索强度增加的运动反应在两个空间中是相似的(正相关),但需要考虑其他因素才能显现出这种关系。测量水平平面停留时间的觅食指数往往会因海上休息事件而膨胀,而垂直指数往往主要区分活动和不活动时间,或底栖和浮游觅食时间。同时考虑水平和垂直运动以及地形信息,可以推断出其他行为状态,从而更深入地了解觅食活动的解释。

https://cdn.ncbi.nlm.nih.gov/pmc/blobs/1b4e/4445568/a94a81918b21/40462_2015_42_Fig1_HTML.jpg

文献AI研究员

20分钟写一篇综述,助力文献阅读效率提升50倍。

立即体验

用中文搜PubMed

大模型驱动的PubMed中文搜索引擎

马上搜索

文档翻译

学术文献翻译模型,支持多种主流文档格式。

立即体验