• 文献检索
  • 文档翻译
  • 深度研究
  • 学术资讯
  • Suppr Zotero 插件Zotero 插件
  • 邀请有礼
  • 套餐&价格
  • 历史记录
应用&插件
Suppr Zotero 插件Zotero 插件浏览器插件Mac 客户端Windows 客户端微信小程序
定价
高级版会员购买积分包购买API积分包
服务
文献检索文档翻译深度研究API 文档MCP 服务
关于我们
关于 Suppr公司介绍联系我们用户协议隐私条款
关注我们

Suppr 超能文献

核心技术专利:CN118964589B侵权必究
粤ICP备2023148730 号-1Suppr @ 2026

文献检索

告别复杂PubMed语法,用中文像聊天一样搜索,搜遍4000万医学文献。AI智能推荐,让科研检索更轻松。

立即免费搜索

文件翻译

保留排版,准确专业,支持PDF/Word/PPT等文件格式,支持 12+语言互译。

免费翻译文档

深度研究

AI帮你快速写综述,25分钟生成高质量综述,智能提取关键信息,辅助科研写作。

立即免费体验

用于通过激光多普勒振动测量法和有限元模拟确定Sc Al N薄膜压电常数的圆形测试结构。

Circular test structure for the determination of piezoelectric constants of Sc Al N thin films applying Laser Doppler Vibrometry and FEM simulations.

作者信息

Mayrhofer P M, Euchner H, Bittner A, Schmid U

机构信息

Institute of Sensor and Actuator Systems, Vienna University of Technology, Floragasse 7, 1040 Vienna, Austria.

Institute of Materials Science and Technology, Vienna University of Technology, Karlsplatz 13, 1040 Vienna, Austria.

出版信息

Sens Actuators A Phys. 2015 Feb 1;222:301-308. doi: 10.1016/j.sna.2014.10.024.

DOI:10.1016/j.sna.2014.10.024
PMID:26109748
原文链接:https://pmc.ncbi.nlm.nih.gov/articles/PMC4461150/
Abstract

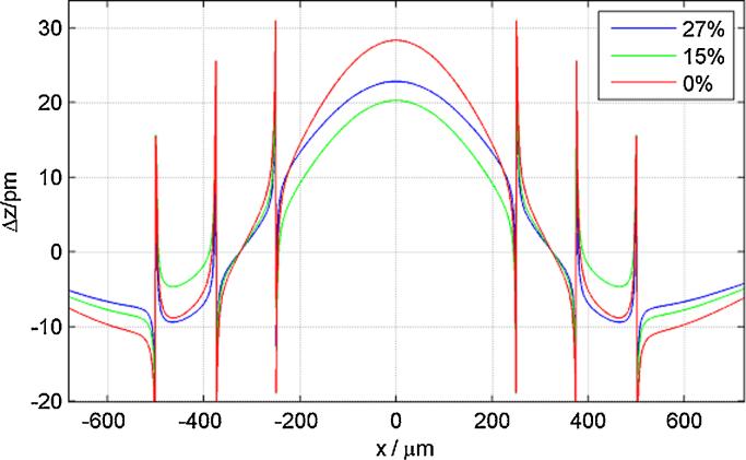
Piezoelectric scandium aluminium nitride (Sc Al N) thin films offer a large potential for the application in micro electromechanical systems, as advantageous properties of pure AlN thin films are maintained, but combined with an increased piezoelectric actuation and sensing potential. Sc Al N thin films with  = 27% have been prepared by DC reactive magnetron sputtering to find optimized deposition parameters to maximize the piezoelectric constants and . For the accurate and simultaneous measurement of these constants Laser Doppler Vibrometry has been applied and compared to finite element (FEM) simulations. The electrode design has been optimized to rotational symmetric structures enabling a 180° phase shifted excitation, so that a straight-forward comparison of experimental displacement curves with those obtained from FEM is feasible.

摘要

压电氮化钪铝(ScAlN)薄膜在微机电系统应用中具有巨大潜力,因为它保留了纯氮化铝(AlN)薄膜的优势特性,同时还具备增强的压电驱动和传感潜力。通过直流反应磁控溅射制备了钪含量为27%的ScAlN薄膜,以寻找优化的沉积参数,使压电常数d33和g33最大化。为了精确同时测量这些常数,应用了激光多普勒测振仪,并与有限元(FEM)模拟进行了比较。电极设计已优化为旋转对称结构,可实现180°相移激励,从而能够直接将实验位移曲线与有限元模拟得到的曲线进行比较。

https://cdn.ncbi.nlm.nih.gov/pmc/blobs/30de/4461150/4d083c93b35c/gr8.jpg
https://cdn.ncbi.nlm.nih.gov/pmc/blobs/30de/4461150/59b4414be8ab/gr1.jpg
https://cdn.ncbi.nlm.nih.gov/pmc/blobs/30de/4461150/3921b59e6dc4/gr2.jpg
https://cdn.ncbi.nlm.nih.gov/pmc/blobs/30de/4461150/eef9e3a83497/gr3.jpg
https://cdn.ncbi.nlm.nih.gov/pmc/blobs/30de/4461150/9f3dc3590cfa/gr4.jpg
https://cdn.ncbi.nlm.nih.gov/pmc/blobs/30de/4461150/56081eee6390/gr5.jpg
https://cdn.ncbi.nlm.nih.gov/pmc/blobs/30de/4461150/94c70dc5cdcd/gr6.jpg
https://cdn.ncbi.nlm.nih.gov/pmc/blobs/30de/4461150/1aa5d0257f0e/gr7.jpg
https://cdn.ncbi.nlm.nih.gov/pmc/blobs/30de/4461150/4d083c93b35c/gr8.jpg
https://cdn.ncbi.nlm.nih.gov/pmc/blobs/30de/4461150/59b4414be8ab/gr1.jpg
https://cdn.ncbi.nlm.nih.gov/pmc/blobs/30de/4461150/3921b59e6dc4/gr2.jpg
https://cdn.ncbi.nlm.nih.gov/pmc/blobs/30de/4461150/eef9e3a83497/gr3.jpg
https://cdn.ncbi.nlm.nih.gov/pmc/blobs/30de/4461150/9f3dc3590cfa/gr4.jpg
https://cdn.ncbi.nlm.nih.gov/pmc/blobs/30de/4461150/56081eee6390/gr5.jpg
https://cdn.ncbi.nlm.nih.gov/pmc/blobs/30de/4461150/94c70dc5cdcd/gr6.jpg
https://cdn.ncbi.nlm.nih.gov/pmc/blobs/30de/4461150/1aa5d0257f0e/gr7.jpg
https://cdn.ncbi.nlm.nih.gov/pmc/blobs/30de/4461150/4d083c93b35c/gr8.jpg

相似文献

1
Circular test structure for the determination of piezoelectric constants of Sc Al N thin films applying Laser Doppler Vibrometry and FEM simulations.用于通过激光多普勒振动测量法和有限元模拟确定Sc Al N薄膜压电常数的圆形测试结构。
Sens Actuators A Phys. 2015 Feb 1;222:301-308. doi: 10.1016/j.sna.2014.10.024.
2
Process Control Monitor (PCM) for Simultaneous Determination of the Piezoelectric Coefficients and of AlN and AlScN Thin Films.用于同时测定AlN和AlScN薄膜压电系数的过程控制监测器(PCM)
Micromachines (Basel). 2022 Apr 7;13(4):581. doi: 10.3390/mi13040581.
3
High-SPL Air-Coupled Piezoelectric Micromachined Ultrasonic Transducers Based on 36% ScAlN Thin-Film.基于36%钪铝氮薄膜的高声压级空气耦合压电微机械超声换能器
IEEE Trans Ultrason Ferroelectr Freq Control. 2019 Sep;66(9):1488-1496. doi: 10.1109/TUFFC.2019.2921983. Epub 2019 Jun 10.
4
Highly piezoelectric co-doped AlN thin films for wideband FBAR applications.用于宽带薄膜体声波谐振器应用的高压电共掺杂氮化铝薄膜
IEEE Trans Ultrason Ferroelectr Freq Control. 2015 Jun;62(6):1007-15. doi: 10.1109/TUFFC.2014.006846.
5
In Situ Synchrotron XRD Characterization of Piezoelectric AlScN Thin Films for MEMS Applications.用于微机电系统应用的压电AlScN薄膜的原位同步加速器X射线衍射表征
Materials (Basel). 2023 Feb 21;16(5):1781. doi: 10.3390/ma16051781.
6
Multiphysics Modeling and Analysis of Sc-Doped AlN Thin Film Based Piezoelectric Micromachined Ultrasonic Transducer by Finite Element Method.基于有限元法的掺钪氮化铝薄膜压电微机械超声换能器的多物理场建模与分析
Micromachines (Basel). 2023 Oct 18;14(10):1942. doi: 10.3390/mi14101942.
7
Deposition, Characterization, and Modeling of Scandium-Doped Aluminum Nitride Thin Film for Piezoelectric Devices.用于压电器件的钪掺杂氮化铝薄膜的沉积、表征及建模
Materials (Basel). 2021 Oct 27;14(21):6437. doi: 10.3390/ma14216437.
8
Growth of Highly c-Axis Oriented AlScN Films on Commercial Substrates.在商业衬底上生长高度c轴取向的AlScN薄膜。
Micromachines (Basel). 2022 May 17;13(5):783. doi: 10.3390/mi13050783.
9
Self-Rolled-Up Aluminum Nitride-Based 3D Architectures Enabled by Record-High Differential Stress.由创纪录的高差分应力实现的自卷氮化铝基三维结构。
ACS Appl Mater Interfaces. 2022 Jun 29;14(25):29014-29024. doi: 10.1021/acsami.2c06637. Epub 2022 Jun 14.
10
Preparation, Characterization, and Application of AlN/ScAlN Composite Thin Films.AlN/ScAlN复合薄膜的制备、表征及应用
Micromachines (Basel). 2023 Feb 27;14(3):557. doi: 10.3390/mi14030557.

引用本文的文献

1
Biocompatible and Hermetic Encapsulation of PMUTs: Effects of Parylene F-VT4 and ALD Stacks on Membrane Vibration and Acoustic Performance.压电微机电超声换能器的生物相容性和气密封装:聚对二甲苯F-VT4和原子层沉积堆叠对膜振动和声性能的影响
Sensors (Basel). 2025 Jun 30;25(13):4074. doi: 10.3390/s25134074.
2
In Situ Synchrotron XRD Characterization of Piezoelectric AlScN Thin Films for MEMS Applications.用于微机电系统应用的压电AlScN薄膜的原位同步加速器X射线衍射表征
Materials (Basel). 2023 Feb 21;16(5):1781. doi: 10.3390/ma16051781.
3
Process Control Monitor (PCM) for Simultaneous Determination of the Piezoelectric Coefficients and of AlN and AlScN Thin Films.

本文引用的文献

1
Super-high-frequency SAW transducer utilizing AIN/ultrananocrystalline diamond architectures.采用氮化铝/超纳米晶金刚石结构的超高频声表面波换能器。
IEEE Trans Ultrason Ferroelectr Freq Control. 2013 Aug;60(8):1581-6. doi: 10.1109/TUFFC.2013.2738.
2
Enhancement of piezoelectric response in scandium aluminum nitride alloy thin films prepared by dual reactive cosputtering.通过双反应共溅射制备的钪铝氮合金薄膜中压电响应的增强
Adv Mater. 2009 Feb 2;21(5):593-6. doi: 10.1002/adma.200802611.
3
Origin of the anomalous piezoelectric response in wurtzite Sc(x)Al(1-x)N alloys.
用于同时测定AlN和AlScN薄膜压电系数的过程控制监测器(PCM)
Micromachines (Basel). 2022 Apr 7;13(4):581. doi: 10.3390/mi13040581.
纤锌矿 Sc(x)Al(1-x)N 合金中反常压电响应的起源。
Phys Rev Lett. 2010 Apr 2;104(13):137601. doi: 10.1103/PhysRevLett.104.137601.
4
Aluminum nitride on titanium for CMOS compatible piezoelectric transducers.用于CMOS兼容压电换能器的钛基氮化铝
J Micromech Microeng. 2010;20(2):25008. doi: 10.1088/0960-1317/20/2/025008.
5
Efficient iterative schemes for ab initio total-energy calculations using a plane-wave basis set.使用平面波基组进行从头算总能量计算的高效迭代方案。
Phys Rev B Condens Matter. 1996 Oct 15;54(16):11169-11186. doi: 10.1103/physrevb.54.11169.