Suppr超能文献

荧光假单胞菌DSM 50106甘露醇启动子的功能表征及其在恶臭假单胞菌KT2440甘露醇诱导表达系统中的应用。

Functional Characterization of the Mannitol Promoter of Pseudomonas fluorescens DSM 50106 and Its Application for a Mannitol-Inducible Expression System for Pseudomonas putida KT2440.

作者信息

Hoffmann Jana, Altenbuchner Josef

机构信息

Institut für Industrielle Genetik, Universität Stuttgart, Allmandring 31, 70569, Stuttgart, Germany.

出版信息

PLoS One. 2015 Jul 24;10(7):e0133248. doi: 10.1371/journal.pone.0133248. eCollection 2015.

Abstract

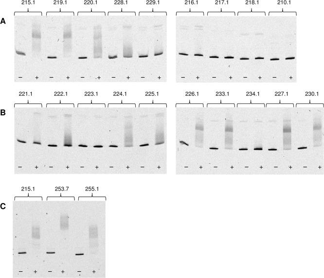
A new pBBR1MCS-2-derived vector containing the Pseudomonas fluorescens DSM10506 mannitol promoter PmtlE and mtlR encoding its AraC/XylS type transcriptional activator was constructed and optimized for low basal expression. Mannitol, arabitol, and glucitol-inducible gene expression was demonstrated with Pseudomonas putida and eGFP as reporter gene. The new vector was applied for functional characterization of PmtlE. Identification of the DNA binding site of MtlR was achieved by in vivo eGFP measurement with PmtlE wild type and mutants thereof. Moreover, purified MtlR was applied for detailed in vitro investigations using electrophoretic mobility shift assays and DNaseI footprinting experiments. The obtained data suggest that MtlR binds to PmtlE as a dimer. The proposed DNA binding site of MtlR is AGTGC-N5-AGTAT-N7-AGTGC-N5-AGGAT. The transcription activation mechanism includes two binding sites with different binding affinities, a strong upstream binding site and a weaker downstream binding site. The presence of the weak downstream binding site was shown to be necessary to sustain mannitol-inducibility of PmtlE. Two possible functions of mannitol are discussed; the effector might stabilize binding of the second monomer to the downstream half site or promote transcription activation by inducing a conformational change of the regulator that influences the contact to the RNA polymerase.

摘要

构建了一种新的源自pBBR1MCS-2的载体,其包含荧光假单胞菌DSM10506甘露醇启动子PmtlE及其编码AraC/XylS型转录激活因子的mtlR,并针对低基础表达进行了优化。以恶臭假单胞菌和绿色荧光蛋白(eGFP)作为报告基因,证明了甘露醇、阿糖醇和葡糖醇可诱导基因表达。该新载体用于PmtlE的功能表征。通过对PmtlE野生型及其突变体进行体内eGFP测量,确定了MtlR的DNA结合位点。此外,应用纯化的MtlR,通过电泳迁移率变动分析和DNaseI足迹实验进行详细的体外研究。获得的数据表明,MtlR以二聚体形式与PmtlE结合。MtlR的推测DNA结合位点为AGTGC-N5-AGTAT-N7-AGTGC-N5-AGGAT。转录激活机制包括两个具有不同结合亲和力的结合位点,一个强上游结合位点和一个较弱的下游结合位点。已证明弱下游结合位点的存在对于维持PmtlE的甘露醇诱导性是必要的。讨论了甘露醇的两种可能功能;效应物可能稳定第二个单体与下游半位点的结合,或通过诱导调节因子的构象变化来促进转录激活,从而影响与RNA聚合酶的接触。

https://cdn.ncbi.nlm.nih.gov/pmc/blobs/f150/4514859/fa610b74456f/pone.0133248.g001.jpg

文献AI研究员

20分钟写一篇综述,助力文献阅读效率提升50倍。

立即体验

用中文搜PubMed

大模型驱动的PubMed中文搜索引擎

马上搜索

文档翻译

学术文献翻译模型,支持多种主流文档格式。

立即体验