Suppr超能文献

人工耳蜗植入青少年的心理健康问题:在控制其他残疾因素后,同伴问题依然存在。

Mental health problems in adolescents with cochlear implants: peer problems persist after controlling for additional handicaps.

作者信息

Huber Maria, Burger Thorsten, Illg Angelika, Kunze Silke, Giourgas Alexandros, Braun Ludwig, Kröger Stefanie, Nickisch Andreas, Rasp Gerhard, Becker Andreas, Keilmann Annerose

机构信息

Department of Otorhinolaryngology, Head and Neck Surgery, Paracelsus Medical University Salzburg Salzburg, Austria.

Department of Otorhinolaryngology, Cochlear Implant Center Freiburg, University of Freiburg Freiburg, Germany.

出版信息

Front Psychol. 2015 Jul 15;6:953. doi: 10.3389/fpsyg.2015.00953. eCollection 2015.

Abstract

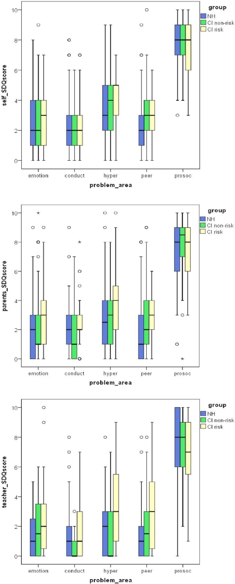
The aims of the present multi-center study were to investigate the extent of mental health problems in adolescents with a hearing loss and cochlear implants (CIs) in comparison to normal hearing (NH) peers and to investigate possible relations between the extent of mental health problems of young CI users and hearing variables, such as age at implantation, or functional gain of CI. The survey included 140 adolescents with CI (mean age = 14.7, SD = 1.5 years) and 140 NH adolescents (mean age = 14.8, SD = 1.4 years), their parents and teachers. Participants were matched by age, gender and social background. Within the CI group, 35 adolescents were identified as "risk cases" due to possible and manifest additional handicaps, and 11 adolescents were non-classifiable. Mental health problems were assessed with the Strengths and Difficulties Questionnaire (SDQ) in the versions "Self," "Parent," and "Teacher." The CI group showed significantly more "Peer Problems" than the NH group. When the CI group was split into a "risk-group" (35 "risk cases" and 11 non-classifiable persons) and a "non-risk group" (n = 94), increased peer problems were perceived in both CI subgroups by adolescents themselves. However, no further differences between the CI non-risk group and the NH group were observed in any rater. The CI risk-group showed significantly more hyperactivity compared to the NH group and more hyperactivity and conduct problems compared to the CI non-risk group. Cluster analyses confirmed that there were significantly more adolescents with high problems in the CI risk-group compared to the CI non-risk group and the NH group. Adolescents with CI, who were able to understand speech in noise had significantly less difficulties compared to constricted CI users. Parents, teachers, and clinicians should be aware that CI users with additionally special needs may have mental health problems. However, peer problems were also experienced by CI adolescents without additional handicaps.

摘要

本多中心研究的目的是调查与听力正常(NH)的同龄人相比,有听力损失且植入人工耳蜗(CI)的青少年心理健康问题的程度,并研究年轻CI使用者心理健康问题的程度与听力变量(如植入年龄或CI的功能增益)之间的可能关系。该调查纳入了140名CI青少年(平均年龄=14.7岁,标准差=1.5岁)和140名NH青少年(平均年龄=14.8岁,标准差=1.4岁)、他们的父母和教师。参与者在年龄、性别和社会背景方面进行了匹配。在CI组中,35名青少年由于可能存在且明显的其他障碍而被确定为“风险案例”,11名青少年无法分类。使用优势与困难问卷(SDQ)的“自我”“家长”和“教师”版本评估心理健康问题。CI组的“同伴问题”明显多于NH组。当CI组分为“风险组”(35个“风险案例”和11个无法分类的人)和“非风险组”(n=94)时,青少年自身在两个CI亚组中都察觉到同伴问题增加。然而,在任何评估者中,CI非风险组和NH组之间未观察到进一步差异。与NH组相比,CI风险组表现出明显更多的多动,与CI非风险组相比,多动和行为问题更多。聚类分析证实,与CI非风险组和NH组相比,CI风险组中存在高问题的青少年明显更多。与CI功能受限的使用者相比,能够在噪声中理解言语的CI青少年困难明显更少。家长、教师和临床医生应意识到,有额外特殊需求的CI使用者可能存在心理健康问题。然而,没有额外障碍的CI青少年也会经历同伴问题。

https://cdn.ncbi.nlm.nih.gov/pmc/blobs/027e/4502340/5bc69480cec5/fpsyg-06-00953-g0001.jpg

文献AI研究员

20分钟写一篇综述,助力文献阅读效率提升50倍。

立即体验

用中文搜PubMed

大模型驱动的PubMed中文搜索引擎

马上搜索

文档翻译

学术文献翻译模型,支持多种主流文档格式。

立即体验