Suppr超能文献

荷兰儿童在贝利婴幼儿发展量表第三版上的表现:美国与荷兰常模的比较研究

Performance of Dutch children on the Bayley III: a comparison study of US and Dutch norms.

作者信息

Steenis Leonie J P, Verhoeven Marjolein, Hessen Dave J, van Baar Anneloes L

机构信息

Child and Adolescent Studies, Utrecht University, Utrecht, The Netherlands.

Methods and Statistics, Utrecht University, Utrecht, The Netherlands.

出版信息

PLoS One. 2015 Aug 12;10(8):e0132871. doi: 10.1371/journal.pone.0132871. eCollection 2015.

Abstract

BACKGROUND

The Bayley Scales of Infant and Toddler Development-third edition (Bayley-III) are frequently used to assess early child development worldwide. However, the original standardization only included US children, and it is still unclear whether or not these norms are adequate for use in other populations. Recently, norms for the Dutch version of the Bayley-III (The Bayley-III-NL) were made. Scores based on Dutch and US norms were compared to study the need for population-specific norms.

METHODS

Scaled scores based on Dutch and US norms were compared for 1912 children between 14 days and 42 months 14 days. Next, the proportions of children scoring < 1-SD and < -2 SD based on the two norms were compared, to identify over- or under-referral for developmental delay resulting from non-population-based norms.

RESULTS

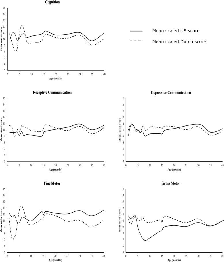
Scaled scores based on Dutch norms fluctuated around values based on US norms on all subtests. The extent of the deviations differed across ages and subtests. Differences in means were significant across all five subtests (p < .01) with small to large effect sizes (ηp2) ranging from .03 to .26). Using the US instead of Dutch norms resulted in over-referral regarding gross motor skills, and under-referral regarding cognitive, receptive communication, expressive communication, and fine motor skills.

CONCLUSIONS

The Dutch norms differ from the US norms for all subtests and these differences are clinically relevant. Population specific norms are needed to identify children with low scores for referral and intervention, and to facilitate international comparisons of population data.

摘要

背景

贝利婴幼儿发展量表第三版(Bayley-III)在全球范围内常用于评估儿童早期发展。然而,最初的标准化仅纳入了美国儿童,这些常模是否适用于其他人群仍不明确。最近,制定了贝利婴幼儿发展量表第三版荷兰版(Bayley-III-NL)的常模。比较基于荷兰和美国常模的得分,以研究是否需要针对特定人群的常模。

方法

比较了1912名年龄在14天至42个月14天之间儿童基于荷兰和美国常模的量表得分。接下来,比较了基于这两种常模得分低于1个标准差和低于 -2个标准差的儿童比例,以确定因非特定人群常模导致的发育迟缓转诊过多或过少的情况。

结果

在所有子测试中,基于荷兰常模的量表得分围绕基于美国常模的值波动。偏差程度因年龄和子测试而异。在所有五个子测试中,均值差异均具有统计学意义(p <.01),效应大小(ηp2)从小到大为0.03至0.26)。使用美国常模而非荷兰常模会导致大肌肉运动技能方面转诊过多,而在认知、接受性沟通、表达性沟通和精细运动技能方面转诊过少。

结论

荷兰常模在所有子测试中均与美国常模不同,且这些差异具有临床相关性。需要针对特定人群的常模来识别得分较低的儿童以便转诊和干预,并促进人群数据的国际比较。

https://cdn.ncbi.nlm.nih.gov/pmc/blobs/ef60/4534391/88e23d11ec81/pone.0132871.g001.jpg

文献AI研究员

20分钟写一篇综述,助力文献阅读效率提升50倍。

立即体验

用中文搜PubMed

大模型驱动的PubMed中文搜索引擎

马上搜索

文档翻译

学术文献翻译模型,支持多种主流文档格式。

立即体验