Suppr超能文献

在一个欧洲国家出生的暴露于HIV但未感染的婴儿中的严重感染

Severe Infections in HIV-Exposed Uninfected Infants Born in a European Country.

作者信息

Adler Catherine, Haelterman Edwige, Barlow Patricia, Marchant Arnaud, Levy Jack, Goetghebuer Tessa

机构信息

Pediatric Department, St Pierre University Hospital, Brussels, Belgium.

Clinical Investigation Unit, ImmuneHealth, Gosselies, Belgium.

出版信息

PLoS One. 2015 Aug 18;10(8):e0135375. doi: 10.1371/journal.pone.0135375. eCollection 2015.

Abstract

BACKGROUND

Several studies indicate that HIV-exposed uninfected (HEU) children have a high infectious morbidity. We previously reported an increased incidence of group B streptococcus (GBS) infections in HEU infants born in Belgium.

METHODS

This study was undertaken to evaluate the incidence and risk factors of all cause severe infections in HEU infants born in Belgium between 1985 and 2006, including the pre-antiretroviral (ARV) prophylaxis era (1985 to 1994). The medical charts of 537 HEU infants followed in a single center were reviewed.

RESULTS

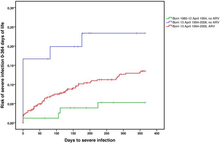
The incidence rate of severe infections during the first year of life was 16.8/100 HEU infant-years. The rates of invasive S. pneumoniae (0.62/100 infant-years) and GBS infections (1.05/100 infant-years) were, respectively, 4 and 13-fold higher in HEU infants than in the general infant population. Preterm birth was a risk factor for severe infections in the neonatal period (aOR = 21.34, 95%CI:7.12-63.93) and post-neonatal period (aHR = 3.00, 95%CI:1.53-5.88). As compared to the pre-ARV prophylaxis era, infants born in the ARV prophylaxis era (i.e., after April 1994) had a greater risk of severe infections (aHR = 2.93; 95%CI:1.07-8.05). This risk excess was present in those who received ARV prophylaxis (aHR 2.01, 95%CI 0.72-5.65) and also in those born in the ARV prophylaxis era who did not benefit from ARV prophylaxis as a result of poor access to antenatal care or lack of compliance (aHR 3.06, 95%CI 0.88-10.66).

CONCLUSIONS

In HEU infants born in an industrialized country, preterm birth and being born during the ARV prophylaxis era were risk factors of severe infections throughout the first year of life. These observations have important implications for the clinical management of HIV-infected mothers and their infants.

摘要

背景

多项研究表明,暴露于HIV但未感染(HEU)的儿童具有较高的感染性发病率。我们之前报道过在比利时出生的HEU婴儿中B族链球菌(GBS)感染的发病率有所增加。

方法

本研究旨在评估1985年至2006年在比利时出生的HEU婴儿中所有原因导致的严重感染的发病率及危险因素,包括抗逆转录病毒(ARV)预防措施实施前的时期(1985年至1994年)。回顾了在单一中心随访的537名HEU婴儿的病历。

结果

生命第一年中严重感染的发病率为16.8/100 HEU婴儿年。侵袭性肺炎链球菌感染率(0.62/100婴儿年)和GBS感染率(1.05/100婴儿年)在HEU婴儿中分别比一般婴儿人群高4倍和13倍。早产是新生儿期(调整后的比值比[aOR]=21.34,95%置信区间[CI]:7.12 - 63.93)和新生儿后期(调整后的风险比[aHR]=3.00,95%CI:1.53 - 5.88)严重感染的一个危险因素。与ARV预防措施实施前的时期相比,在ARV预防措施实施时期(即1994年4月之后)出生的婴儿发生严重感染的风险更高(aHR = 2.93;95%CI:1.07 - 8.05)。这种风险增加在接受ARV预防的婴儿中存在(aHR 2.01,95%CI 0.72 - 5.65),在ARV预防措施实施时期出生但因产前护理获取不足或依从性差而未受益于ARV预防的婴儿中也存在(aHR 3.06,95%CI 0.88 - 10.66)。

结论

在工业化国家出生的HEU婴儿中,早产以及在ARV预防措施实施时期出生是生命第一年中严重感染的危险因素。这些观察结果对HIV感染母亲及其婴儿的临床管理具有重要意义。

https://cdn.ncbi.nlm.nih.gov/pmc/blobs/0a8c/4540431/2239b3848c82/pone.0135375.g001.jpg

文献AI研究员

20分钟写一篇综述,助力文献阅读效率提升50倍。

立即体验

用中文搜PubMed

大模型驱动的PubMed中文搜索引擎

马上搜索

文档翻译

学术文献翻译模型,支持多种主流文档格式。

立即体验