Suppr超能文献

哺乳动物细胞中未折叠的核蛋白或胞质蛋白引发的不同转录反应。

Distinct transcriptional responses elicited by unfolded nuclear or cytoplasmic protein in mammalian cells.

作者信息

Miyazaki Yusuke, Chen Ling-chun, Chu Bernard W, Swigut Tomek, Wandless Thomas J

机构信息

Department of Chemical and Systems Biology, Stanford University, Stanford, United States.

出版信息

Elife. 2015 Aug 28;4:e07687. doi: 10.7554/eLife.07687.

Abstract

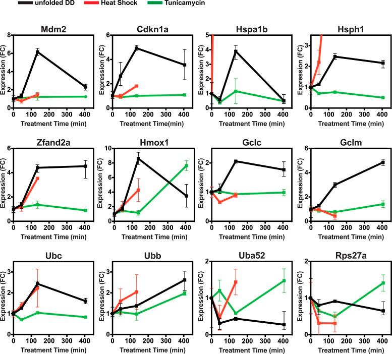
Eukaryotic cells possess a variety of signaling pathways that prevent accumulation of unfolded and misfolded proteins. Chief among these is the heat shock response (HSR), which is assumed to respond to unfolded proteins in the cytosol and nucleus alike. In this study, we probe this axiom further using engineered proteins called 'destabilizing domains', whose folding state we control with a small molecule. The sudden appearance of unfolded protein in mammalian cells elicits a robust transcriptional response, which is distinct from the HSR and other known pathways that respond to unfolded proteins. The cellular response to unfolded protein is strikingly different in the nucleus and the cytosol, although unfolded protein in either compartment engages the p53 network. This response provides cross-protection during subsequent proteotoxic stress, suggesting that it is a central component of protein quality control networks, and like the HSR, is likely to influence the initiation and progression of human pathologies.

摘要

真核细胞拥有多种信号通路,可防止未折叠和错误折叠的蛋白质积累。其中主要的是热休克反应(HSR),它被认为对细胞质和细胞核中的未折叠蛋白质均有反应。在本研究中,我们使用称为“不稳定结构域”的工程蛋白进一步探究这一公理,其折叠状态由小分子控制。哺乳动物细胞中未折叠蛋白的突然出现引发了强烈的转录反应,这与热休克反应和其他已知的对未折叠蛋白作出反应的途径不同。尽管两个区室中的未折叠蛋白均与p53网络相互作用,但细胞对未折叠蛋白的反应在细胞核和细胞质中却显著不同。这种反应在随后的蛋白毒性应激期间提供交叉保护,表明它是蛋白质质量控制网络的核心组成部分,并且与热休克反应一样,可能会影响人类疾病的发生和发展。

https://cdn.ncbi.nlm.nih.gov/pmc/blobs/7e4c/4566031/b01a49623827/elife07687f001.jpg

文献AI研究员

20分钟写一篇综述,助力文献阅读效率提升50倍。

立即体验

用中文搜PubMed

大模型驱动的PubMed中文搜索引擎

马上搜索

文档翻译

学术文献翻译模型,支持多种主流文档格式。

立即体验