Suppr超能文献

基于响应面法优化苜蓿中黄酮类化合物和抗氧化剂的超声辅助提取工艺

Optimization of Ultrasonic-Assisted Extraction of Flavonoid Compounds and Antioxidants from Alfalfa Using Response Surface Method.

作者信息

Jing Chang-Liang, Dong Xiao-Fang, Tong Jian-Ming

机构信息

Institute of Animal Sciences, Chinese Academy of Agricultural Sciences, Beijing 100193, China.

出版信息

Molecules. 2015 Aug 26;20(9):15550-71. doi: 10.3390/molecules200915550.

Abstract

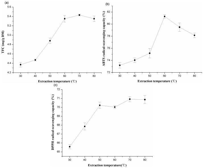
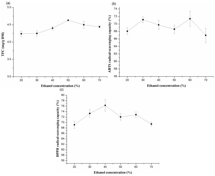
Ultrasonic-assisted extraction (UAE) was used to extract flavonoid-enriched antioxidants from alfalfa aerial part. Response surface methodology (RSM), based on a four-factor, five-level central composite design (CCD), was employed to obtain the optimal extraction parameters, in which the flavonoid content was maximum and the antioxidant activity of the extracts was strongest. Radical scavenging capacity of the extracts, which represents the amounts of antioxidants in alfalfa, was determined by using 2,2'-azino-bis (3-ethylbenzothiazoline-6-sulphonicacid) (ABTS) and 2,2'-diphenyl-1-picrylhydrazyl (DPPH) methods. The results showed good fit with the proposed models for the total flavonoid extraction (R² = 0.9849), for the antioxidant extraction assayed by ABTS method (R² = 0.9764), and by DPPH method (R² = 0.9806). Optimized extraction conditions for total flavonoids was a ratio of liquid to solid of 57.16 mL/g, 62.33 °C, 57.08 min, and 52.14% ethanol. The optimal extraction parameters of extracts for the highest antioxidant activity by DPPH method was a ratio of liquid to solid 60.3 mL/g, 54.56 °C, 45.59 min, and 46.67% ethanol, and by ABTS assay was a ratio of liquid to solid 47.29 mL/g, 63.73 °C, 51.62 min, and 60% ethanol concentration. Our work offers optimal extraction conditions for total flavonoids and antioxidants from alfalfa.

摘要

采用超声辅助提取法(UAE)从苜蓿地上部分提取富含黄酮类的抗氧化剂。基于四因素、五水平中心复合设计(CCD)的响应面法(RSM)用于获得最佳提取参数,在此参数下黄酮含量最高且提取物的抗氧化活性最强。通过使用2,2'-联氮-双-(3-乙基苯并噻唑啉-6-磺酸)(ABTS)和2,2'-二苯基-1-苦基肼(DPPH)方法测定提取物的自由基清除能力,该能力代表苜蓿中抗氧化剂的含量。结果表明,总黄酮提取模型(R² = 0.9849)、ABTS法测定的抗氧化剂提取模型(R² = 0.9764)和DPPH法测定的抗氧化剂提取模型(R² = 0.9806)与所提出的模型拟合良好。总黄酮的优化提取条件为液固比57.16 mL/g、温度62.33 °C、时间57.08 min和乙醇浓度52.14%。DPPH法测定具有最高抗氧化活性的提取物的最佳提取参数为液固比60.3 mL/g、温度54.56 °C、时间45.59 min和乙醇浓度46.67%,ABTS法测定的最佳提取参数为液固比47.29 mL/g、温度63.73 °C、时间51.62 min和乙醇浓度60%。我们的工作为从苜蓿中提取总黄酮和抗氧化剂提供了最佳提取条件。

https://cdn.ncbi.nlm.nih.gov/pmc/blobs/2c6d/6332291/a4e348de0895/molecules-20-15550-g001.jpg

文献AI研究员

20分钟写一篇综述,助力文献阅读效率提升50倍。

立即体验

用中文搜PubMed

大模型驱动的PubMed中文搜索引擎

马上搜索

文档翻译

学术文献翻译模型,支持多种主流文档格式。

立即体验