Suppr超能文献

基于转录本的超高密度辣椒遗传图谱定义了基因组中的重组及相关物种间的共线性。

Ultra-High Density, Transcript-Based Genetic Maps of Pepper Define Recombination in the Genome and Synteny Among Related Species.

作者信息

Hill Theresa, Ashrafi Hamid, Chin-Wo Sebastian Reyes, Stoffel Kevin, Truco Maria-Jose, Kozik Alexander, Michelmore Richard, Van Deynze Allen

机构信息

Seed Biotechnology Center, University of California, Davis, California 95616 Department of Plant Sciences, University of California, Davis, California 95616.

Department of Horticultural Science, North Carolina State University, Raleigh, North Carolina 27695.

出版信息

G3 (Bethesda). 2015 Sep 8;5(11):2341-55. doi: 10.1534/g3.115.020040.

Abstract

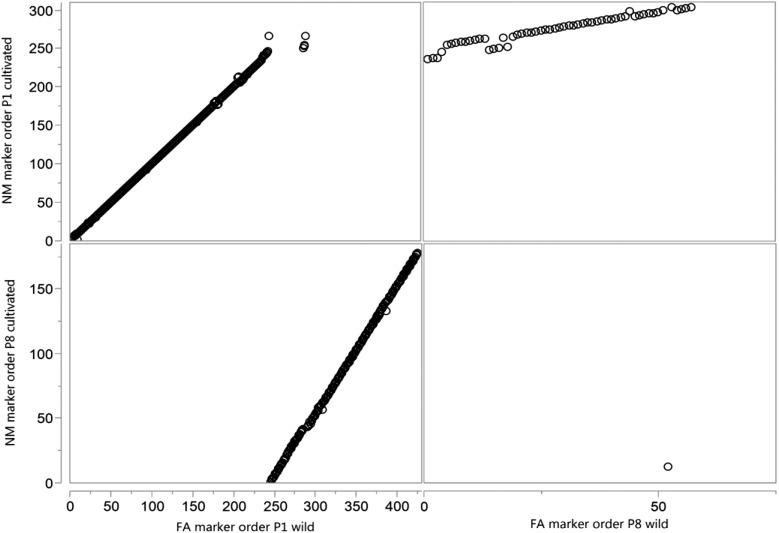
Our ability to assemble complex genomes and construct ultradense genetic maps now allows the determination of recombination rates, translocations, and the extent of genomic collinearity between populations, species, and genera. We developed two ultradense genetic linkage maps for pepper from single-position polymorphisms (SPPs) identified de novo with a 30,173 unigene pepper genotyping array. The Capsicum frutescens × C. annuum interspecific and the C. annuum intraspecific genetic maps were constructed comprising 16,167 and 3,878 unigene markers in 2108 and 783 genetic bins, respectively. Accuracies of marker groupings and orders are validated by the high degree of collinearity between the two maps. Marker density was sufficient to locate the chromosomal breakpoint resulting in the P1/P8 translocation between C. frutescens and C. annuum to a single bin. The two maps aligned to the pepper genome showed varying marker density along the chromosomes. There were extensive chromosomal regions with suppressed recombination and reduced intraspecific marker density. These regions corresponded to the pronounced nonrecombining pericentromeric regions in tomato, a related Solanaceous species. Similar to tomato, the extent of reduced recombination appears to be more pronounced in pepper than in other plant species. Alignment of maps with the tomato and potato genomes shows the presence of previously known translocations and a translocation event that was not observed in previous genetic maps of pepper.

摘要

我们组装复杂基因组和构建超密集遗传图谱的能力,现在使得我们能够确定重组率、易位情况以及不同种群、物种和属之间基因组共线性的程度。我们利用通过30,173个单基因辣椒基因分型阵列从头鉴定出的单核苷酸多态性(SPP),为辣椒构建了两个超密集遗传连锁图谱。构建了辣椒(Capsicum frutescens)× 辣椒(C. annuum)种间遗传图谱和辣椒种内遗传图谱,分别包含2108个和783个遗传区间内的16,167个和3,878个单基因标记。两个图谱之间高度的共线性验证了标记分组和排序的准确性。标记密度足以将导致辣椒和辣椒之间P1/P8易位的染色体断点定位到单个区间。与辣椒基因组比对的这两个图谱显示,沿着染色体标记密度各不相同。存在大量重组受到抑制且种内标记密度降低的染色体区域。这些区域对应于相关茄科物种番茄中明显的无重组着丝粒周围区域。与番茄类似,辣椒中重组减少的程度似乎比其他植物物种更为明显。图谱与番茄和马铃薯基因组的比对显示存在先前已知的易位以及在辣椒先前的遗传图谱中未观察到的一个易位事件。

https://cdn.ncbi.nlm.nih.gov/pmc/blobs/26b1/4632054/fe76cc6bef25/2341f1.jpg

文献AI研究员

20分钟写一篇综述,助力文献阅读效率提升50倍。

立即体验

用中文搜PubMed

大模型驱动的PubMed中文搜索引擎

马上搜索

文档翻译

学术文献翻译模型,支持多种主流文档格式。

立即体验