• 文献检索
  • 文档翻译
  • 深度研究
  • 学术资讯
  • Suppr Zotero 插件Zotero 插件
  • 邀请有礼
  • 套餐&价格
  • 历史记录
应用&插件
Suppr Zotero 插件Zotero 插件浏览器插件Mac 客户端Windows 客户端微信小程序
定价
高级版会员购买积分包购买API积分包
服务
文献检索文档翻译深度研究API 文档MCP 服务
关于我们
关于 Suppr公司介绍联系我们用户协议隐私条款
关注我们

Suppr 超能文献

核心技术专利:CN118964589B侵权必究
粤ICP备2023148730 号-1Suppr @ 2026

文献检索

告别复杂PubMed语法,用中文像聊天一样搜索,搜遍4000万医学文献。AI智能推荐,让科研检索更轻松。

立即免费搜索

文件翻译

保留排版,准确专业,支持PDF/Word/PPT等文件格式,支持 12+语言互译。

免费翻译文档

深度研究

AI帮你快速写综述,25分钟生成高质量综述,智能提取关键信息,辅助科研写作。

立即免费体验

慢性乙醇喂养后出血/复苏诱导的肝损伤病理生理学中NF-κB和JNK的差异相关性

Differential Relevance of NF-κB and JNK in the Pathophysiology of Hemorrhage/Resususcitation-Induced Liver Injury after Chronic Ethanol Feeding.

作者信息

Relja Borna, Weber Roxane, Maraslioglu Miriam, Wagner Nils, Borsello Tiziana, Jobin Christian, Marzi Ingo, Lehnert Mark

机构信息

Department of Trauma, Hand and Reconstructive Surgery, University Hospital Frankfurt, Goethe University, Frankfurt, Germany.

Neuronal Death and Neuroprotection Unit, Instituto Di Ricerche Farmacologiche "Mario Negri", Milano, Italy.

出版信息

PLoS One. 2015 Sep 14;10(9):e0137875. doi: 10.1371/journal.pone.0137875. eCollection 2015.

DOI:10.1371/journal.pone.0137875
PMID:26367181
原文链接:https://pmc.ncbi.nlm.nih.gov/articles/PMC4569329/
Abstract

BACKGROUND

Chronic ethanol (EtOH) abuse worsens pathophysiological derangements after hemorrhagic shock and resuscitation (H/R) that induce hepatic injury and strong inflammatory changes via JNK and NF-κB activation. Inhibiting JNK with a cell-penetrating, protease-resistant peptide D-JNKI-1 after H/R in mice with healthy livers ameliorated these effects. Here, we studied if JNK inhibition by D-JNKI-1 in chronically EtOH-fed mice after hemorrhagic shock prior to the onset of resuscitation also confers protection.

METHODS

Male mice were fed a Lieber-DeCarli diet containing EtOH or an isocaloric control (ctrl) diet for 4 weeks. Animals were hemorrhaged for 90 min (32 ± 2 mm Hg) and randomly received either D-JNKI-1 (11 mg/kg, intraperitoneally, i. p.) or sterile saline as vehicle (veh) immediately before the onset of resuscitation. Sham animals underwent surgical procedures without H/R and were either D-JNKI-1 or veh treated. Two hours after resuscitation, blood samples and liver tissue were harvested.

RESULTS

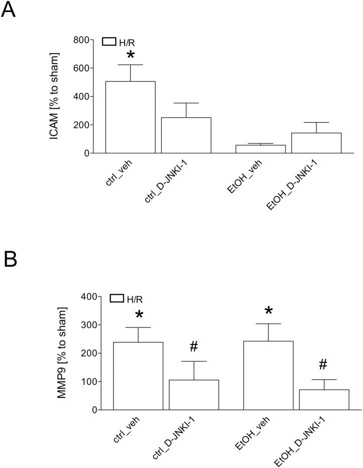
H/R induced hepatic injury with increased systemic interleukin (IL)-6 levels, and enhanced local gene expression of NF-κB-controlled genes such as intercellular adhesion molecule (ICAM)-1 and matrix metallopeptidase (MMP)9. c-Jun and NF-κB phosphorylation were increased after H/R. These effects were further increased in EtOH-fed mice after H/R. D-JNKI-1 application inhibited the proinflammatory changes and reduced significantly hepatic injury after H/R in ctrl-fed mice. Moreover, D-JNKI-1 reduces in ctrl-fed mice the H/R-induced c-Jun and NF-κB phosphorylation. However, in chronically EtOH-fed mice, JNK inhibition did not prevent the H/R-induced hepatic damage and proinflammatory changes nor c-Jun and NF-κB phosphorylation after H/R.

CONCLUSIONS

These results indicate, that JNK inhibition is protective only in not pre-harmed liver after H/R. In contrast, the pronounced H/R-induced liver damage in mice being chronically fed with ethanol cannot be prevented by JNK inhibition after H/R and seems to be under the control of NF-κB.

摘要

背景

慢性乙醇(EtOH)滥用会加重失血性休克和复苏(H/R)后的病理生理紊乱,H/R会通过激活JNK和NF-κB诱导肝损伤和强烈的炎症变化。在肝脏健康的小鼠中,H/R后用一种细胞穿透性、蛋白酶抗性肽D-JNKI-1抑制JNK可改善这些效应。在此,我们研究了在复苏开始前对慢性乙醇喂养的小鼠进行失血性休克后,D-JNKI-1抑制JNK是否也能提供保护作用。

方法

雄性小鼠分别喂食含乙醇的Lieber-DeCarli饮食或等热量对照(ctrl)饮食4周。动物出血90分钟(32±2毫米汞柱),并在复苏开始前随机接受D-JNKI-1(11毫克/千克,腹腔注射,i.p.)或无菌生理盐水作为载体(veh)。假手术动物接受无H/R的手术操作,并接受D-JNKI-1或veh处理。复苏后两小时,采集血样和肝组织。

结果

H/R诱导肝损伤,全身白细胞介素(IL)-6水平升高,并增强了NF-κB控制基因如细胞间粘附分子(ICAM)-1和基质金属肽酶(MMP)9的局部基因表达。H/R后c-Jun和NF-κB磷酸化增加。在H/R后的乙醇喂养小鼠中,这些效应进一步增强。应用D-JNKI-1可抑制ctrl喂养小鼠H/R后的促炎变化并显著减轻肝损伤。此外,D-JNKI-1可降低ctrl喂养小鼠H/R诱导的c-Jun和NF-κB磷酸化。然而,在慢性乙醇喂养的小鼠中,抑制JNK并不能预防H/R诱导的肝损伤和促炎变化,也不能预防H/R后c-Jun和NF-κB磷酸化。

结论

这些结果表明,JNK抑制仅在H/R后未预先受损的肝脏中具有保护作用。相比之下,慢性乙醇喂养的小鼠中H/R诱导的明显肝损伤不能通过H/R后抑制JNK来预防,似乎受NF-κB控制。

https://cdn.ncbi.nlm.nih.gov/pmc/blobs/088f/4569329/85f80d2fd894/pone.0137875.g006.jpg
https://cdn.ncbi.nlm.nih.gov/pmc/blobs/088f/4569329/157aa3d9c723/pone.0137875.g001.jpg
https://cdn.ncbi.nlm.nih.gov/pmc/blobs/088f/4569329/d8066b311d19/pone.0137875.g002.jpg
https://cdn.ncbi.nlm.nih.gov/pmc/blobs/088f/4569329/90c224e502fb/pone.0137875.g003.jpg
https://cdn.ncbi.nlm.nih.gov/pmc/blobs/088f/4569329/bf216f667b04/pone.0137875.g004.jpg
https://cdn.ncbi.nlm.nih.gov/pmc/blobs/088f/4569329/9d5abf36a03c/pone.0137875.g005.jpg
https://cdn.ncbi.nlm.nih.gov/pmc/blobs/088f/4569329/85f80d2fd894/pone.0137875.g006.jpg
https://cdn.ncbi.nlm.nih.gov/pmc/blobs/088f/4569329/157aa3d9c723/pone.0137875.g001.jpg
https://cdn.ncbi.nlm.nih.gov/pmc/blobs/088f/4569329/d8066b311d19/pone.0137875.g002.jpg
https://cdn.ncbi.nlm.nih.gov/pmc/blobs/088f/4569329/90c224e502fb/pone.0137875.g003.jpg
https://cdn.ncbi.nlm.nih.gov/pmc/blobs/088f/4569329/bf216f667b04/pone.0137875.g004.jpg
https://cdn.ncbi.nlm.nih.gov/pmc/blobs/088f/4569329/9d5abf36a03c/pone.0137875.g005.jpg
https://cdn.ncbi.nlm.nih.gov/pmc/blobs/088f/4569329/85f80d2fd894/pone.0137875.g006.jpg

相似文献

1
Differential Relevance of NF-κB and JNK in the Pathophysiology of Hemorrhage/Resususcitation-Induced Liver Injury after Chronic Ethanol Feeding.慢性乙醇喂养后出血/复苏诱导的肝损伤病理生理学中NF-κB和JNK的差异相关性
PLoS One. 2015 Sep 14;10(9):e0137875. doi: 10.1371/journal.pone.0137875. eCollection 2015.
2
Inhibition of c-Jun N-terminal kinase after hemorrhage but before resuscitation mitigates hepatic damage and inflammatory response in male rats.出血后但在复苏前抑制 c-Jun N-末端激酶可减轻雄性大鼠的肝损伤和炎症反应。
Shock. 2009 Nov;32(5):509-16. doi: 10.1097/SHK.0b013e3181a2530d.
3
Activation of NF-κB after chronic ethanol intake and haemorrhagic shock/resuscitation in mice.小鼠长期摄入乙醇及经历失血性休克/复苏后NF-κB的激活
Br J Pharmacol. 2013 Oct;170(3):506-18. doi: 10.1111/bph.12224.
4
A peptide inhibitor of C-jun N-terminal kinase modulates hepatic damage and the inflammatory response after hemorrhagic shock and resuscitation.C-Jun氨基末端激酶的一种肽抑制剂可调节失血性休克和复苏后的肝损伤及炎症反应。
Shock. 2008 Aug;30(2):159-65. doi: 10.1097/SHK.0b013e31815dd623.
5
Effects of green tea catechins on the pro-inflammatory response after haemorrhage/resuscitation in rats.绿茶儿茶素对大鼠出血/再灌注后促炎反应的影响。
Br J Nutr. 2011 Jun 28;105(12):1791-7. doi: 10.1017/S000711451000560X. Epub 2011 Feb 4.
6
Plant polyphenols attenuate hepatic injury after hemorrhage/resuscitation by inhibition of apoptosis, oxidative stress, and inflammation via NF-kappaB in rats.植物多酚通过核因子-κB 抑制细胞凋亡、氧化应激和炎症,减轻大鼠出血/再灌注后的肝损伤。
Eur J Nutr. 2012 Apr;51(3):311-21. doi: 10.1007/s00394-011-0216-1. Epub 2011 Jun 23.
7
Effects of acute ethanol gavage on intestinal integrity after hemorrhage/resuscitation.急性乙醇灌胃对出血/复苏后肠道完整性的影响。
Scand J Gastroenterol. 2013 Apr;48(4):448-58. doi: 10.3109/00365521.2013.772228.
8
Time dependency and topography of hepatic nuclear factor κB activation after hemorrhagic shock and resuscitation in mice.小鼠失血性休克及复苏后肝核因子 κB 激活的时间依赖性和空间分布性。
Shock. 2012 Nov;38(5):486-92. doi: 10.1097/SHK.0b013e3182699072.
9
Acute alcohol intoxication reduces mortality, inflammatory responses and hepatic injury after haemorrhage and resuscitation in vivo.急性酒精中毒可降低体内出血再灌注后死亡率、炎症反应和肝损伤。
Br J Pharmacol. 2012 Feb;165(4b):1188-99. doi: 10.1111/j.1476-5381.2011.01595.x.
10
Increased susceptibility to liver injury after hemorrhagic shock in rats chronically fed ethanol: role of nuclear factor-kappa B, interleukin-6, and granulocyte colony-stimulating factor.长期喂食乙醇的大鼠失血性休克后肝损伤易感性增加:核因子-κB、白细胞介素-6和粒细胞集落刺激因子的作用
Shock. 2004 Jun;21(6):519-25. doi: 10.1097/01.shk.0000126905.75237.07.

引用本文的文献

1
Causal roles of stress kinase JNK2 in DNA methylation and binge alcohol withdrawal-evoked behavioral deficits.应激激酶 JNK2 在 DNA 甲基化和 binge 酒精戒断诱发的行为缺陷中的因果作用。
Pharmacol Res. 2021 Feb;164:105375. doi: 10.1016/j.phrs.2020.105375. Epub 2020 Dec 11.
2
JNK3 as Therapeutic Target and Biomarker in Neurodegenerative and Neurodevelopmental Brain Diseases.JNK3 在神经退行性和神经发育性脑疾病中的治疗靶点和生物标志物。
Cells. 2020 Sep 28;9(10):2190. doi: 10.3390/cells9102190.
3
Innate Immunity and Alcohol.先天免疫与酒精

本文引用的文献

1
Decreased inflammatory responses of human lung epithelial cells after ethanol exposure are mimicked by ethyl pyruvate.丙酮酸乙酯可模拟乙醇暴露后人肺上皮细胞炎症反应的降低。
Mediators Inflamm. 2014;2014:781519. doi: 10.1155/2014/781519. Epub 2014 Nov 3.
2
Myeloid knockout of HIF-1 α does not markedly affect hemorrhage/resuscitation-induced inflammation and hepatic injury.缺氧诱导因子-1α的髓系敲除对出血/复苏诱导的炎症和肝损伤无明显影响。
Mediators Inflamm. 2014;2014:930419. doi: 10.1155/2014/930419. Epub 2014 Jun 1.
3
Effect of alcohol in traumatic brain injury: is it really protective?
J Clin Med. 2019 Nov 14;8(11):1981. doi: 10.3390/jcm8111981.
4
Role of Stress Kinase JNK in Binge Alcohol-Evoked Atrial Arrhythmia.应激激酶 JNK 在 binge 酒精诱发的心房心律失常中的作用。
J Am Coll Cardiol. 2018 Apr 3;71(13):1459-1470. doi: 10.1016/j.jacc.2018.01.060.
5
Antifatigue Effects of Cultured Mycelium via Modulation of Oxidative Stress Signaling in a Mouse Model.通过调节小鼠模型中的氧化应激信号研究培养菌丝体的抗疲劳作用
Biomed Res Int. 2017;2017:9374026. doi: 10.1155/2017/9374026. Epub 2017 Mar 23.
6
Hepatoprotective Effects of : The Modulation of Oxidative Stress Signaling in a Mouse Model of Alcohol-Induced Acute Liver Injury.: 酒精性急性肝损伤小鼠模型中氧化应激信号的调节对肝脏的保护作用
Oxid Med Cell Longev. 2017;2017:7841823. doi: 10.1155/2017/7841823. Epub 2017 Feb 27.
7
Expression of p38 mitogen-activated protein kinases, glycogen synthase kinase, c-Jun NH2-terminal kinase, extracellular signal-regulated kinase signaling: Can it be used as molecular markers among trauma-hemorrhagic shock patients?p38丝裂原活化蛋白激酶、糖原合酶激酶、c-Jun氨基末端激酶、细胞外信号调节激酶信号的表达:它能否作为创伤失血性休克患者的分子标志物?
J Emerg Trauma Shock. 2016 Oct-Dec;9(4):131-132. doi: 10.4103/0974-2700.193346.
酒精对创伤性脑损伤的影响:真的有保护作用吗?
J Surg Res. 2014 Aug;190(2):634-9. doi: 10.1016/j.jss.2014.04.039. Epub 2014 May 1.
4
Determination of tissue levels of a neuroprotectant drug: the cell permeable JNK inhibitor peptide.
J Pharmacol Toxicol Methods. 2014 Jul-Aug;70(1):55-61. doi: 10.1016/j.vascn.2014.04.001. Epub 2014 May 9.
5
TNF and MAP kinase signalling pathways.肿瘤坏死因子和丝裂原活化蛋白激酶信号通路。
Semin Immunol. 2014 Jun;26(3):237-45. doi: 10.1016/j.smim.2014.02.009. Epub 2014 Mar 16.
6
Chronic ethanol feeding modulates inflammatory mediators, activation of nuclear factor-κB, and responsiveness to endotoxin in murine Kupffer cells and circulating leukocytes.慢性乙醇喂养调节了核因子-κB 的激活和对鼠枯否细胞和循环白细胞内毒素的反应性,从而调节了炎症介质。
Mediators Inflamm. 2014;2014:808695. doi: 10.1155/2014/808695. Epub 2014 Jan 29.
7
Activation of NF-κB after chronic ethanol intake and haemorrhagic shock/resuscitation in mice.小鼠长期摄入乙醇及经历失血性休克/复苏后NF-κB的激活
Br J Pharmacol. 2013 Oct;170(3):506-18. doi: 10.1111/bph.12224.
8
Effects of acute ethanol gavage on intestinal integrity after hemorrhage/resuscitation.急性乙醇灌胃对出血/复苏后肠道完整性的影响。
Scand J Gastroenterol. 2013 Apr;48(4):448-58. doi: 10.3109/00365521.2013.772228.
9
Care of the injured worldwide: trauma still the neglected disease of modern society.全球范围内的伤员护理:创伤仍然是现代社会被忽视的疾病。
Scand J Trauma Resusc Emerg Med. 2012 Sep 15;20:64. doi: 10.1186/1757-7241-20-64.
10
Liver cirrhosis but not alcohol abuse is associated with impaired outcome in trauma patients - a retrospective, multicentre study.肝硬化而非酒精滥用与创伤患者预后不良相关——一项回顾性、多中心研究。
Injury. 2013 May;44(5):661-6. doi: 10.1016/j.injury.2012.06.013. Epub 2012 Jul 6.