Suppr超能文献

引体向上技术的肩胛骨运动学:通过训练改变避免撞击风险

Scapula kinematics of pull-up techniques: Avoiding impingement risk with training changes.

作者信息

Prinold Joe A I, Bull Anthony M J

机构信息

Department of Bioengineering, Imperial College London, UK.

Department of Bioengineering, Imperial College London, UK.

出版信息

J Sci Med Sport. 2016 Aug;19(8):629-35. doi: 10.1016/j.jsams.2015.08.002. Epub 2015 Sep 3.

Abstract

OBJECTIVES

Overhead athletic activities and scapula dyskinesia are linked with shoulder pathology; pull-ups are a common training method for some overhead sports. Different pull-up techniques exist: anecdotally some are easier to perform, and others linked to greater incidences of pathology. This study aims to quantify scapular kinematics and external forces for three pull-up techniques, thus discussing potential injury implications.

DESIGN

An observational study was performed with eleven participants (age=26.8±2.4 years) who regularly perform pull-ups.

METHODS

The upward motions of three pull-up techniques were analysed: palms facing anterior, palms facing posterior and wide-grip. A skin-fixed scapula tracking technique with attached retro-reflective markers was used.

RESULTS

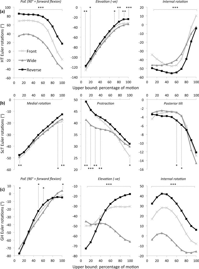
High intra-participant repeatability was observed: mean coefficients of multiple correlations of 0.87-1.00 in humerothoracic rotations and 0.77-0.90 for scapulothoracic rotations. Standard deviations of hand force was low: <5% body weight. Significantly different patterns of humerothoracic, scapulothoracic and glenohumeral kinematics were observed between the pull-up techniques. The reverse technique has extreme glenohumeral internal-external rotation and large deviation from the scapula plane. The wide technique has a reduced range of pro/retraction in the same HT plane of elevation and 90° of arm abduction with 45° external rotation was observed. All these factors suggest increased sub-acromial impingement risk.

CONCLUSIONS

The scapula tracking technique showed high repeatability. High arm elevation during pull-ups reduces sub-acromial space and increases pressure, increasing the risk of impingement injury. Wide and reverse pull-ups demonstrate kinematics patterns linked with increased impingement risk. Weight-assisted front pull-ups require further investigation and could be recommended for weaker participants.

摘要

目的

过头运动和肩胛骨运动障碍与肩部病变有关;引体向上是一些过头运动常用的训练方法。存在不同的引体向上技术:据传闻,有些更容易完成,而另一些与更高的病变发生率相关。本研究旨在量化三种引体向上技术的肩胛骨运动学和外力,从而探讨潜在的损伤影响。

设计

对11名经常进行引体向上的参与者(年龄=26.8±2.4岁)进行了一项观察性研究。

方法

分析了三种引体向上技术的向上运动:掌心向前、掌心向后和宽握距。使用了一种带有附着的反光标记的皮肤固定肩胛骨跟踪技术。

结果

观察到较高的参与者内重复性:肱骨胸廓旋转的多重相关平均系数为0.87 - 1.00,肩胛胸廓旋转为0.77 - 0.90。手部力量的标准差较低:<体重的5%。在引体向上技术之间观察到肱骨胸廓、肩胛胸廓和盂肱关节运动学的显著不同模式。反握技术有极端的盂肱关节内外旋转,且与肩胛骨平面有较大偏差。宽握技术在相同的抬高肱骨胸廓平面内前伸/后缩范围减小,并且在手臂外展90°伴45°外旋时观察到这种情况。所有这些因素表明肩峰下撞击风险增加。

结论

肩胛骨跟踪技术显示出高重复性。引体向上过程中手臂的高抬高会减少肩峰下间隙并增加压力,增加撞击损伤的风险。宽握和反握引体向上表现出与增加撞击风险相关的运动学模式。助力前引体向上需要进一步研究,并且可以推荐给较弱的参与者。

https://cdn.ncbi.nlm.nih.gov/pmc/blobs/b046/4925892/b2dab567d3c3/gr1.jpg

文献AI研究员

20分钟写一篇综述,助力文献阅读效率提升50倍。

立即体验

用中文搜PubMed

大模型驱动的PubMed中文搜索引擎

马上搜索

文档翻译

学术文献翻译模型,支持多种主流文档格式。

立即体验