Suppr超能文献

丘脑底核深部脑刺激调节帕金森病患者术后儿茶酚胺水平,且与临床结局显著相关。

Subthalamic Nucleus Deep Brain Stimulation Modulate Catecholamine Levels with Significant Relations to Clinical Outcome after Surgery in Patients with Parkinson's Disease.

作者信息

Yamamoto Tatsuya, Uchiyama Tomoyuki, Higuchi Yoshinori, Asahina Masato, Hirano Shigeki, Yamanaka Yoshitaka, Kuwabara Satoshi

机构信息

Department of Neurology, Graduate School of Medicine, Chiba University, Chiba, Japan.

Department of Neurology, Graduate School of Medicine, Chiba University, Chiba, Japan; Department of Neurology, Dokkyo Medical College, Tochigi, Japan.

出版信息

PLoS One. 2015 Sep 22;10(9):e0138462. doi: 10.1371/journal.pone.0138462. eCollection 2015.

Abstract

AIMS

Although subthalamic nucleus deep brain stimulation (STN-DBS) is effective in patients with advanced Parkinson's disease (PD), its physiological mechanisms remain unclear. Because STN-DBS is effective in patients with PD whose motor symptoms are dramatically alleviated by L-3,4-dihydroxyphenylalanine (L-DOPA) treatment, the higher preoperative catecholamine levels might be related to the better clinical outcome after surgery. We aimed to examine the correlation between the preoperative catecholamine levels and postoperative clinical outcome after subthalamic nucleus deep brain stimulation. The effectiveness of STN-DBS in the patient who responded well to dopaminergic medication suggest the causal link between the dopaminergic system and STN-DBS. We also examined how catecholamine levels were modulated after subthalamic stimulation.

METHODS

In total 25 patients with PD were enrolled (Mean age 66.2 ± 6.7 years, mean disease duration 11.6 ± 3.7 years). Mean levodopa equivalent doses were 1032 ± 34.6 mg before surgery. Cerebrospinal fluid and plasma catecholamine levels were measured an hour after oral administration of antiparkinsonian drugs before surgery. The mean Unified Parkinson's Disease Rating Scale scores (UPDRS) and the Parkinson's disease Questionnaire-39 (PDQ-39) were obtained before and after surgery. Of the 25 patients, postoperative cerebrospinal fluid and plasma were collected an hour after oral administration of antiparkinsonian drugs during on stimulation at follow up in 11 patients.

RESULTS

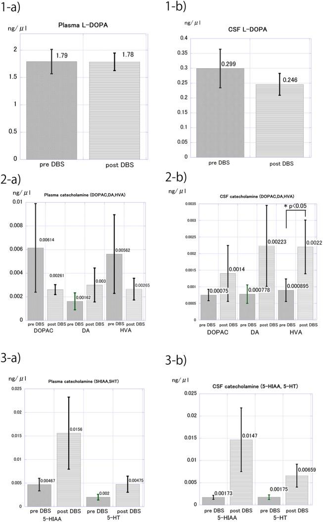
Mean levodopa equivalent doses significantly decreased after surgery with improvement in motor functions and quality of life. The preoperative catecholamine levels had basically negative correlations with postoperative motor scores and quality of life, suggesting that higher preoperative catecholamine levels were related to better outcome after STN-DBS. The preoperative plasma levels of L-DOPA had significantly negative correlations with postoperative UPDRS- III score in off phase three months after STN-DBS. The preoperative cerebrospinal fluid (CSF) 3,4-dihydroxyphenylacetic acid (DOPAC) and 5-hydroxytryptamine (5-HT) levels had significantly negative correlations with postoperative UPDRS- III score in off phase one year after STN-DBS and the preoperative CSF homovanilic acid (HVA) levels had significant negative correlations with postoperative UPDRS- III score in on phase three months after STN-DBS. In PDQ-39 SI (summary index), preoperative plasma dopamine (DA) level had significantly negative correlations with postoperative PDQ-39 SI one year after STN-DBS suggesting that higher preoperative plasma DA level resulted in better quality of life (QOL) one year after STN-DBS. The stepwise multiple linear regression study revealed that higher preoperative plasma HVA levels had negative influence on the postoperative motor symptoms (i.e., increase in the score of UPDRS), whereas higher preoperative CSF L-DOPA levels had positive influence on the postoperative motor symptoms and QOL (decrease in the score of UPDRS and PDQ-39 SI) The catecholamine levels were not significantly reduced postoperatively in 11 patients despite the significant reduction in levodopa equivalent doses. Unexpectedly, CSF HVA levels significantly increased from 0.00089±0.0003 ng/μl to 0.002±0.0008 ng/μl after STN-DBS.

CONCLUSION

The preoperative catecholamine levels might affect the postoperative motor symptoms and quality of life. The catecholamine levels were not significantly reduced postoperatively despite the significant reduction in levodopa equivalent doses.

摘要

目的

虽然丘脑底核深部脑刺激术(STN-DBS)对晚期帕金森病(PD)患者有效,但其生理机制仍不清楚。由于STN-DBS对运动症状通过左旋多巴(L-DOPA)治疗得到显著缓解的PD患者有效,术前较高的儿茶酚胺水平可能与术后更好的临床结果相关。我们旨在研究术前儿茶酚胺水平与丘脑底核深部脑刺激术后临床结果之间的相关性。STN-DBS对多巴胺能药物反应良好的患者有效,提示多巴胺能系统与STN-DBS之间存在因果联系。我们还研究了丘脑底核刺激后儿茶酚胺水平是如何调节的。

方法

共纳入25例PD患者(平均年龄66.2±6.7岁,平均病程11.6±3.7年)。术前左旋多巴等效剂量平均为1032±34.6mg。术前口服抗帕金森病药物1小时后测量脑脊液和血浆儿茶酚胺水平。术前和术后获取统一帕金森病评定量表(UPDRS)平均分和帕金森病问卷-39(PDQ-39)。25例患者中,11例患者在随访刺激开启时口服抗帕金森病药物1小时后收集术后脑脊液和血浆。

结果

术后左旋多巴等效剂量显著降低,运动功能和生活质量改善。术前儿茶酚胺水平与术后运动评分和生活质量基本呈负相关,提示术前较高的儿茶酚胺水平与STN-DBS术后更好的结果相关。术前血浆L-DOPA水平与STN-DBS术后3个月非运动期UPDRS-III评分显著负相关。术前脑脊液(CSF)3,4-二羟基苯乙酸(DOPAC)和5-羟色胺(5-HT)水平与STN-DBS术后1年非运动期UPDRS-III评分显著负相关,术前CSF高香草酸(HVA)水平与STN-DBS术后3个月运动期UPDRS-III评分显著负相关。在PDQ-39 SI(总结指数)中,术前血浆多巴胺(DA)水平与STN-DBS术后1年PDQ-39 SI显著负相关,提示术前较高的血浆DA水平导致STN-DBS术后1年更好的生活质量(QOL)。逐步多元线性回归研究显示,术前较高的血浆HVA水平对术后运动症状有负面影响(即UPDRS评分增加),而术前较高的CSF L-DOPA水平对术后运动症状和QOL有正面影响(UPDRS和PDQ-39 SI评分降低)。11例患者术后左旋多巴等效剂量显著降低,但儿茶酚胺水平未显著降低。出乎意料的是,STN-DBS后CSF HVA水平从0.00089±0.0003ng/μl显著增加至至0.002±0.0008ng/μl。

结论

术前儿茶酚胺水平可能影响术后运动症状和生活质量。尽管左旋多巴等效剂量显著降低,但术后儿茶酚胺水平未显著降低。

https://cdn.ncbi.nlm.nih.gov/pmc/blobs/7494/4578924/53c8a0a58f8f/pone.0138462.g001.jpg

文献AI研究员

20分钟写一篇综述,助力文献阅读效率提升50倍。

立即体验

用中文搜PubMed

大模型驱动的PubMed中文搜索引擎

马上搜索

文档翻译

学术文献翻译模型,支持多种主流文档格式。

立即体验