Suppr超能文献

大豆(Glycine max)中磷脂酶C基因家族的全基因组分析及表达谱分析

Genome-Wide Analysis and Expression Profiling of the Phospholipase C Gene Family in Soybean (Glycine max).

作者信息

Wang Fawei, Deng Yu, Zhou Yonggang, Dong Jinye, Chen Huan, Dong Yuanyuan, Wang Nan, Li Xiaowei, Li Haiyan

机构信息

College of Life Sciences, Engineering Research Center of the Chinese Ministry of Education for Bioreactor and Pharmaceutical Development, Jilin Agricultural University, Changchun, China.

出版信息

PLoS One. 2015 Sep 30;10(9):e0138467. doi: 10.1371/journal.pone.0138467. eCollection 2015.

Abstract

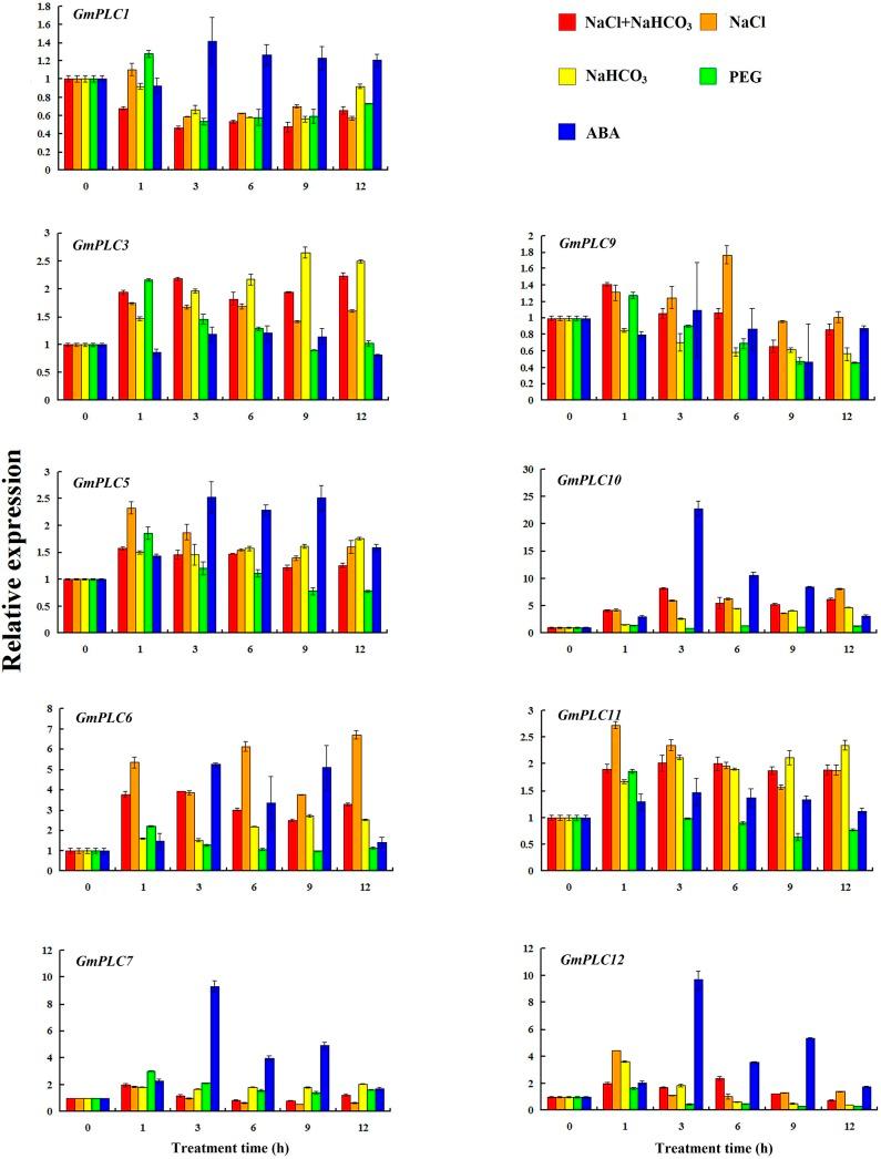
Phosphatidylinositol-specific phospholipase C (PI-PLC) hydrolyses phosphatidylinositol-4,5-bisphosphate to produce diacylglycerol and inositol 1,4,5-trisphosphate. It plays an important role in plant development and abiotic stress responses. However, systematic analysis and expression profiling of the phospholipase C (PLC) gene family in soybean have not been reported. In this study, 12 putative PLC genes were identified in the soybean genome. Soybean PLCs were found on chromosomes 2, 11, 14 and 18 and encoded 58.8-70.06 kD proteins. Expression pattern analysis by RT-PCR demonstrated that expression of the GmPLCs was induced by PEG, NaCl and saline-alkali treatments in roots and leaves. GmPLC transcripts accumulated specifically in roots after ABA treatment. Furthermore, GmPLC transcripts were analyzed in various tissues. The results showed that GmPLC7 was highly expressed in most tissues, whereas GmPLC12 was expressed in early pods specifically. In addition, subcellular localization analysis was carried out and confirmed that GmPLC10 was localized in the plasma membrane in Nicotiana benthamiana. Our genomic analysis of the soybean PLC family provides an insight into the regulation of abiotic stress responses and development. It also provides a solid foundation for the functional characterization of the soybean PLC gene family.

摘要

磷脂酰肌醇特异性磷脂酶C(PI-PLC)将磷脂酰肌醇-4,5-二磷酸水解生成二酰甘油和肌醇1,4,5-三磷酸。它在植物发育和非生物胁迫响应中发挥重要作用。然而,大豆中磷脂酶C(PLC)基因家族的系统分析和表达谱尚未见报道。在本研究中,在大豆基因组中鉴定出12个假定的PLC基因。大豆PLC基因位于2号、11号、14号和18号染色体上,编码58.8-70.06 kD的蛋白质。通过RT-PCR进行的表达模式分析表明,PEG、NaCl和盐碱处理可诱导根和叶中GmPLCs的表达。ABA处理后,GmPLC转录本在根中特异性积累。此外,还分析了GmPLC转录本在各种组织中的表达情况。结果表明,GmPLC7在大多数组织中高表达,而GmPLC12仅在早期豆荚中表达。此外,进行了亚细胞定位分析,证实GmPLC10定位于本氏烟草的质膜上。我们对大豆PLC家族的基因组分析为深入了解非生物胁迫响应和发育的调控机制提供了线索。它也为大豆PLC基因家族的功能鉴定奠定了坚实的基础。

https://cdn.ncbi.nlm.nih.gov/pmc/blobs/6df1/4589352/530592f4da4a/pone.0138467.g001.jpg

文献AI研究员

20分钟写一篇综述,助力文献阅读效率提升50倍。

立即体验

用中文搜PubMed

大模型驱动的PubMed中文搜索引擎

马上搜索

文档翻译

学术文献翻译模型,支持多种主流文档格式。

立即体验