Suppr超能文献

小野寺预后营养指数在结直肠癌患者中的意义:一项在中国单一机构进行的大型队列研究。

Significance of Onodera's prognostic nutritional index in patients with colorectal cancer: a large cohort study in a single Chinese institution.

作者信息

Jian-Hui Chen, Iskandar Edward Arthur, Cai Sh-Irong, Chen Chuang-Qi, Wu Hui, Xu Jian-Bo, He Yu-Long

机构信息

Division of Gastrointestinal Surgery Center, The First Affiliated Hospital of Sun Yat-sen University, Guangzhou, 510080, China.

Gastric Cancer Center, Sun Yat-sen University, Guangzhou, 510080, China.

出版信息

Tumour Biol. 2016 Mar;37(3):3277-83. doi: 10.1007/s13277-015-4008-8. Epub 2015 Oct 5.

Abstract

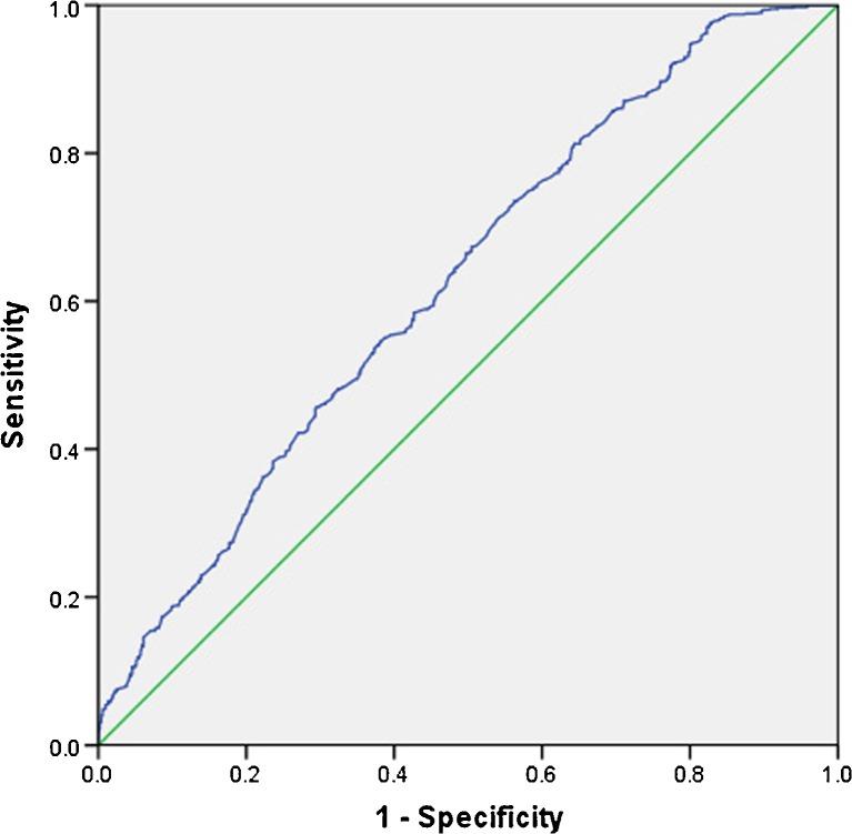
The preoperative nutritional and immunological statuses have an important impact in predicting the survival outcome of patients with various types of malignant tumors. Our study aimed to explore the clinical significance and predictive prognostic potential of Onodera's prognostic nutritional index (PNI) in patients with colorectal carcinoma. This retrospective study included a total of 1321 patients who were diagnosed with colorectal cancer and who had been surgically treated between January 1994 and December 2007. The PNI level was determined according the following formula: 10 × serum albumin (g/dL) + 0.005 × total lymphocyte count (per mm(3)). The impact of PNI on clinicopathological features and overall survival (OS) was determined. The optimal cutoff value of PNI was set at 45. Patients in the low-PNI group had a greater potential to have aggressive histological features, advanced tumors (T), nodal involvement (N), metastasis (M), and TNM stage than those in the high-PNI group. The low-PNI group had a worse OS than the high-PNI group (5-year survival rate 56.1 vs 64.8 %, respectively; P < 0.05). Furthermore, the PNI value was an independent prognostic factor for colorectal cancer in this study. The OS was significantly lower in the low-PNI group than in the high-PNI group in patients with TNM stage II and III diseases. Preoperative PNI is a simple and useful marker to predict clinicopathological features and long-term survival outcome in patients with colorectal carcinoma. PNI analysis should be included in the routine assessment of patients with locally advanced colorectal cancer.

摘要

术前营养和免疫状态对预测各类恶性肿瘤患者的生存结局具有重要影响。我们的研究旨在探讨小野寺预后营养指数(PNI)在结直肠癌患者中的临床意义及预测预后的潜力。这项回顾性研究共纳入了1321例在1994年1月至2007年12月期间被诊断为结直肠癌并接受手术治疗的患者。PNI水平根据以下公式确定:10×血清白蛋白(g/dL)+0.005×总淋巴细胞计数(每立方毫米)。确定了PNI对临床病理特征及总生存期(OS)的影响。PNI的最佳临界值设定为45。低PNI组患者比高PNI组患者更有可能具有侵袭性组织学特征、晚期肿瘤(T)、淋巴结受累(N)、转移(M)及TNM分期。低PNI组的OS比高PNI组更差(5年生存率分别为56.1%和64.8%;P<0.05)。此外,在本研究中PNI值是结直肠癌的独立预后因素。在TNM分期为II期和III期的患者中,低PNI组的OS显著低于高PNI组。术前PNI是预测结直肠癌患者临床病理特征及长期生存结局的一种简单且有用的标志物。PNI分析应纳入局部晚期结直肠癌患者的常规评估中。

https://cdn.ncbi.nlm.nih.gov/pmc/blobs/be9e/4844636/d15745624cba/13277_2015_4008_Fig1_HTML.jpg

文献AI研究员

20分钟写一篇综述,助力文献阅读效率提升50倍。

立即体验

用中文搜PubMed

大模型驱动的PubMed中文搜索引擎

马上搜索

文档翻译

学术文献翻译模型,支持多种主流文档格式。

立即体验