Guo Hong, Sun Fengyu, Dong Lihang, Chang Huiying, Gu Xingbo, Zhang Haiyu, Sheng Lijiang, Tian Ye
Department of Cardiology, The First Affiliated Hospital, Cardiovascular Institute, Harbin Medical University, Harbin 150001, P.R. China; Key Laboratory of Cardiovascular Medicine Research, Ministry of Education, Harbin Medical University, Harbin 150081, P.R. China; Heilongjiang Academy of Medical Sciences, Harbin Medical University, Harbin 150081, P.R. China.
Department of Cardiology, The First Affiliated Hospital, Cardiovascular Institute, Harbin Medical University, Harbin 150001, P.R. China.
PLoS One. 2015 Oct 9;10(10):e0139925. doi: 10.1371/journal.pone.0139925. eCollection 2015.
We investigated the association of ankle-brachial blood pressure index (ABI), interarm blood pressure (BP) difference and interankle BP difference, obtained by simultaneous four-limb BP measurement, with history of stroke in a Chinese adult population.
This cross-sectional study included 1485 participants aged ≥35 years in the framework of the China Hypertension Survey. We performed simultaneous four-limb BP measurement using oscillometric devices with the participants in the supine position and calculated ABI and interarm/interankle BP differences between the 4 limbs. Logistic regression analysis was used to estimate the association of these BP parameters and other factors with a history of stroke.
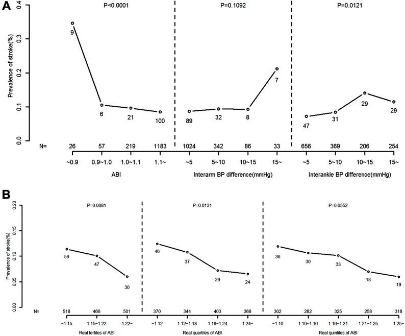
In univariate analyses, participants with ABI <0.9, interarm BP difference ≥15 mmHg, and interankle BP difference ≥10 mmHg had a higher prevalence of stroke than those without (p < 0.0001, p = 0.0152, p = 0.002, respectively). Multiple logistic regression analyses suggested, ABI <0.9 was independently associated with a history of stroke after adjustment for interarm BP difference ≥15 mmHg, interankle BP difference ≥10 mmHg, and traditional risk factors for stroke (p = 0.001). An interankle BP difference ≥10 mmHg was associated with prior stroke after the two variables of hypertension and ABI were removed from the logistic regression model (p = 0.0142). Net reclassification improvement analysis showed that inclusion of interankle BP difference ≥10 mmHg to the independent risk factors (age, family history of stroke, hypertension, and ABI) improved net reclassification by 11.92%.
ABI <0.9 is an independent risk factor for stroke prevalence in Chinese adults and it just detected a small propotion of paticipants. The addition of interankle BP difference ≥10 mmHg to the independent risk factors for stroke may improve the prediction of stroke.
我们通过同时测量四肢血压,研究了中国成年人群中踝臂血压指数(ABI)、双臂血压差异和双踝血压差异与中风病史之间的关联。
这项横断面研究纳入了中国高血压调查框架内1485名年龄≥35岁的参与者。我们使用示波装置在参与者仰卧位时同时测量四肢血压,并计算ABI以及四肢之间的双臂/双踝血压差异。采用逻辑回归分析来估计这些血压参数及其他因素与中风病史之间的关联。
在单因素分析中,ABI<0.9、双臂血压差异≥15 mmHg以及双踝血压差异≥10 mmHg的参与者中风患病率高于无上述情况者(分别为p<0.0001、p = 0.0152、p = 0.002)。多因素逻辑回归分析表明,在调整双臂血压差异≥15 mmHg、双踝血压差异≥10 mmHg以及中风的传统危险因素后,ABI<0.9与中风病史独立相关(p = 0.001)。在逻辑回归模型中去除高血压和ABI这两个变量后,双踝血压差异≥10 mmHg与既往中风相关(p = 0.0142)。净重新分类改善分析显示,将双踝血压差异≥10 mmHg纳入独立危险因素(年龄、中风家族史、高血压和ABI)可使净重新分类提高11.92%。
ABI<0.9是中国成年人中风患病率的独立危险因素,且仅检测出一小部分参与者。将双踝血压差异≥10 mmHg添加到中风独立危险因素中可能会改善中风预测。