Suppr超能文献

金属衬底上的异质外延氧化亚铜薄膜太阳能电池。

Heteroepitaxial Cu2O thin film solar cell on metallic substrates.

作者信息

Wee Sung Hun, Huang Po-Shun, Lee Jung-Kun, Goyal Amit

机构信息

Materials Science and Technology Division, Oak Ridge National Laboratory, Oak Ridge, TN 37831, USA.

Department of Mechanical Engineering and Materials Science, University of Pittsburgh, Pittsburgh, PA15261, USA.

出版信息

Sci Rep. 2015 Nov 6;5:16272. doi: 10.1038/srep16272.

Abstract

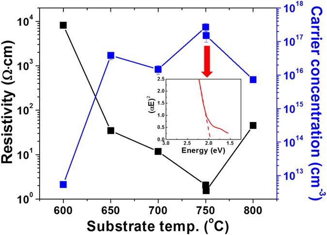
Heteroepitaxial, single-crystal-like Cu2O films on inexpensive, flexible, metallic substrates can potentially be used as absorber layers for fabrication of low-cost, high-performance, non-toxic, earth-abundant solar cells. Here, we report epitaxial growth of Cu2O films on low cost, flexible, textured metallic substrates. Cu2O films were deposited on the metallic templates via pulsed laser deposition under various processing conditions to study the influence of processing parameters on the structural and electronic properties of the films. It is found that pure, epitaxial Cu2O phase without any trace of CuO phase is only formed in a limited deposition window of P(O2) - temperature. The (00l) single-oriented, highly textured, Cu2O films deposited under optimum P(O2) - temperature conditions exhibit excellent electronic properties with carrier mobility in the range of 40-60 cm(2) V(-1) s(-1) and carrier concentration over 10(16) cm(-3). The power conversion efficiency of 1.65% is demonstrated from a proof-of-concept Cu2O solar cell based on epitaxial Cu2O film prepared on the textured metal substrate.

摘要

在廉价、柔性金属衬底上生长的异质外延、类单晶Cu2O薄膜,有潜力用作制造低成本、高性能、无毒且富含地球元素的太阳能电池的吸收层。在此,我们报道了在低成本、柔性、有纹理的金属衬底上外延生长Cu2O薄膜的情况。通过脉冲激光沉积在各种工艺条件下将Cu2O薄膜沉积在金属模板上,以研究工艺参数对薄膜结构和电子性能的影响。研究发现,只有在P(O2) - 温度的有限沉积窗口内才能形成不含任何CuO相痕迹的纯外延Cu2O相。在最佳P(O2) - 温度条件下沉积的(00l)单取向、高度有纹理的Cu2O薄膜具有优异的电子性能,载流子迁移率在40 - 60 cm(2) V(-1) s(-1)范围内,载流子浓度超过10(16) cm(-3)。基于在有纹理金属衬底上制备的外延Cu2O薄膜的概念验证Cu2O太阳能电池展示出了1.65%的功率转换效率。

https://cdn.ncbi.nlm.nih.gov/pmc/blobs/917c/4635375/cc99110fc4ac/srep16272-f1.jpg

文献AI研究员

20分钟写一篇综述,助力文献阅读效率提升50倍。

立即体验

用中文搜PubMed

大模型驱动的PubMed中文搜索引擎

马上搜索

文档翻译

学术文献翻译模型,支持多种主流文档格式。

立即体验