Suppr超能文献

职业倦怠与副交感神经活动减少和下丘脑-垂体-肾上腺(HPA)轴反应性降低有关,主要发生在男性中。

Burnout Is Associated with Reduced Parasympathetic Activity and Reduced HPA Axis Responsiveness, Predominantly in Males.

作者信息

de Vente Wieke, van Amsterdam Jan G C, Olff Miranda, Kamphuis Jan H, Emmelkamp Paul M G

机构信息

Department of Clinical Psychology, University of Amsterdam, Weesperplein 4, 1018 XA Amsterdam, Netherlands ; Research Institute Child Development and Education, University of Amsterdam, P.O. Box 15776, 1001 NG Amsterdam, Netherlands.

Amsterdam Institute for Addiction Research, Academic Medical Center, P.O. Box 75867, 1070 AW Amsterdam, Netherlands.

出版信息

Biomed Res Int. 2015;2015:431725. doi: 10.1155/2015/431725. Epub 2015 Oct 18.

Abstract

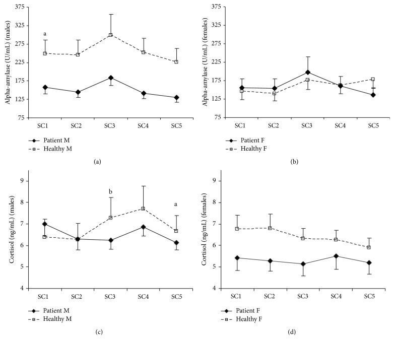
There is mounting evidence that burnout is a risk factor for cardiovascular disease (CVD). Stress-related dysregulation of the sympathetic and parasympathetic system and the hypothalamic pituitary adrenal (HPA) axis may explain the enhanced risk for CVD. To test this hypothesis, 55 patients (34 males and 21 females) with burnout on sickness absence and 40 healthy participants (16 males and 24 females) were exposed to a psychosocial stressor consisting of mental arithmetic and public speech. Physiological variables (i.e., blood pressure, heart rate, cardiac output, vascular resistance, cortisol, and alpha-amylase) were measured. Basal levels, reactivity, and recovery were compared between groups. In male patients, baseline systolic blood pressure was higher, whereas basal alpha-amylase and cortisol reactivity were lower than in healthy males. In female patients, a tendency for lower basal cortisol was found as compared to healthy females. Furthermore, reduced basal heart rate variability and a trend for elevated basal cardiac output were observed in both male and female patients. Burnout is characterised by dysregulation of the sympathetic and parasympathetic system and the HPA axis, which was more pronounced in males than in females. This study further supports burnout as being a risk factor for CVD through dysregulation of the sympathetic and parasympathetic system and the HPA axis.

摘要

越来越多的证据表明,职业倦怠是心血管疾病(CVD)的一个风险因素。交感神经和副交感神经系统以及下丘脑-垂体-肾上腺(HPA)轴与压力相关的失调可能解释了心血管疾病风险增加的原因。为了验证这一假设,55名因职业倦怠而病假的患者(34名男性和21名女性)和40名健康参与者(16名男性和24名女性)暴露于由心算和公开演讲组成的心理社会应激源中。测量了生理变量(即血压、心率、心输出量、血管阻力、皮质醇和α-淀粉酶)。比较了两组之间的基础水平、反应性和恢复情况。在男性患者中,基线收缩压较高,而基础α-淀粉酶和皮质醇反应性低于健康男性。在女性患者中,与健康女性相比,发现基础皮质醇有降低的趋势。此外,在男性和女性患者中均观察到基础心率变异性降低和基础心输出量升高的趋势。职业倦怠的特征是交感神经和副交感神经系统以及HPA轴失调,男性比女性更明显。这项研究通过交感神经和副交感神经系统以及HPA轴的失调进一步支持了职业倦怠是心血管疾病的一个风险因素。

https://cdn.ncbi.nlm.nih.gov/pmc/blobs/d498/4628754/ea2c9ad0731a/BMRI2015-431725.001.jpg

文献AI研究员

20分钟写一篇综述,助力文献阅读效率提升50倍。

立即体验

用中文搜PubMed

大模型驱动的PubMed中文搜索引擎

马上搜索

文档翻译

学术文献翻译模型,支持多种主流文档格式。

立即体验