Suppr超能文献

使用颗粒载体将衣原体粘附素N-PmpC亚单位疫苗递送至眼黏膜

Delivery of a Chlamydial Adhesin N-PmpC Subunit Vaccine to the Ocular Mucosa Using Particulate Carriers.

作者信息

Inic-Kanada Aleksandra, Stojanovic Marijana, Schlacher Simone, Stein Elisabeth, Belij-Rammerstorfer Sandra, Marinkovic Emilija, Lukic Ivana, Montanaro Jacqueline, Schuerer Nadine, Bintner Nora, Kovacevic-Jovanovic Vesna, Krnjaja Ognjen, Mayr Ulrike Beate, Lubitz Werner, Barisani-Asenbauer Talin

机构信息

OCUVAC-Center of Ocular Inflammation and Infection, Laura Bassi Centers of Expertise, Center for Pathophysiology, Infectiology and Immunology, Medical University of Vienna, Vienna, Austria.

Department of Research and Development, Institute of Virology, Vaccines and Sera-TORLAK, Belgrade, Serbia.

出版信息

PLoS One. 2015 Dec 11;10(12):e0144380. doi: 10.1371/journal.pone.0144380. eCollection 2015.

Abstract

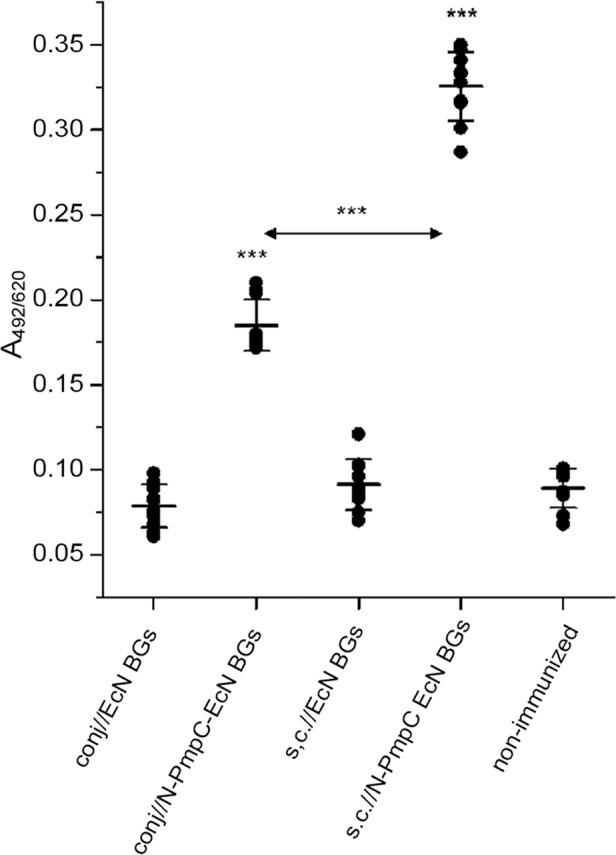
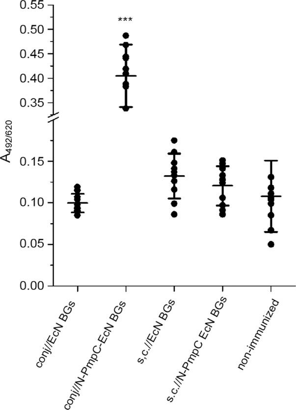
Trachoma, caused by the intracellular bacterium Chlamydia trachomatis (Ct), remains the world's leading preventable infectious cause of blindness. Recent attempts to develop effective vaccines rely on modified chlamydial antigen delivery platforms. As the mechanisms engaged in the pathology of the disease are not fully understood, designing a subunit vaccine specific to chlamydial antigens could improve safety for human use. We propose the delivery of chlamydia-specific antigens to the ocular mucosa using particulate carriers, bacterial ghosts (BGs). We therefore characterized humoral and cellular immune responses after conjunctival and subcutaneous immunization with a N-terminal portion (amino acid 1-893) of the chlamydial polymorphic membrane protein C (PmpC) of Ct serovar B, expressed in probiotic Escherichia coli Nissle 1917 bacterial ghosts (EcN BGs) in BALB/c mice. Three immunizations were performed at two-week intervals, and the immune responses were evaluated two weeks after the final immunization in mice. In a guinea pig model of ocular infection animals were immunized in the same manner as the mice, and protection against challenge was assessed two weeks after the last immunization. N-PmpC was successfully expressed within BGs and delivery to the ocular mucosa was well tolerated without signs of inflammation. N-PmpC-specific mucosal IgA levels in tears yielded significantly increased levels in the group immunized via the conjunctiva compared with the subcutaneously immunized mice. Immunization with N-PmpC EcN BGs via both immunization routes prompted the establishment of an N-PmpC-specific IFNγ immune response. Immunization via the conjunctiva resulted in a decrease in intensity of the transitional inflammatory reaction in conjunctiva of challenged guinea pigs compared with subcutaneously and non-immunized animals. The delivery of the chlamydial subunit vaccine to the ocular mucosa using a particulate carrier, such as BGs, induced both humoral and cellular immune responses. Further investigations are needed to improve the immunization scheme and dosage.

摘要

沙眼由细胞内细菌沙眼衣原体(Ct)引起,仍是全球可预防的主要致盲性传染病病因。近期开发有效疫苗的尝试依赖于改良的衣原体抗原递送平台。由于该疾病病理过程涉及的机制尚未完全明确,设计针对衣原体抗原的亚单位疫苗可提高其在人体使用的安全性。我们提议使用颗粒载体细菌幽灵(BGs)将衣原体特异性抗原递送至眼黏膜。因此,我们对BALB/c小鼠用在益生菌大肠杆菌Nissle 1917细菌幽灵(EcN BGs)中表达的Ct血清型B的衣原体多形膜蛋白C(PmpC)的N端部分(氨基酸1 - 893)进行结膜和皮下免疫后的体液和细胞免疫反应进行了表征。每隔两周进行三次免疫,并在小鼠最后一次免疫后两周评估免疫反应。在眼部感染的豚鼠模型中,动物以与小鼠相同的方式进行免疫,并在最后一次免疫后两周评估对攻击的保护作用。N - PmpC在BGs内成功表达,递送至眼黏膜后耐受性良好,无炎症迹象。与皮下免疫小鼠相比,经结膜免疫组泪液中N - PmpC特异性黏膜IgA水平显著升高。通过两种免疫途径用N - PmpC EcN BGs免疫均促使建立了N - PmpC特异性IFNγ免疫反应。与皮下免疫和未免疫动物相比,经结膜免疫导致受攻击豚鼠结膜中过渡性炎症反应强度降低。使用颗粒载体如BGs将衣原体亚单位疫苗递送至眼黏膜可诱导体液和细胞免疫反应。需要进一步研究以改进免疫方案和剂量。

https://cdn.ncbi.nlm.nih.gov/pmc/blobs/2382/4684359/a4afed82cfa3/pone.0144380.g001.jpg

文献检索

告别复杂PubMed语法,用中文像聊天一样搜索,搜遍4000万医学文献。AI智能推荐,让科研检索更轻松。

立即免费搜索

文件翻译

保留排版,准确专业,支持PDF/Word/PPT等文件格式,支持 12+语言互译。

免费翻译文档

深度研究

AI帮你快速写综述,25分钟生成高质量综述,智能提取关键信息,辅助科研写作。

立即免费体验