Suppr超能文献

切除乳腺肿瘤时进行卵巢子宫切除术对患有乳腺癌的犬的影响:一项随机对照试验。

Effect of Ovariohysterectomy at the Time of Tumor Removal in Dogs with Mammary Carcinomas: A Randomized Controlled Trial.

作者信息

Kristiansen V M, Peña L, Díez Córdova L, Illera J C, Skjerve E, Breen A M, Cofone M A, Langeland M, Teige J, Goldschmidt M, Sørenmo K U

机构信息

Faculty of Veterinary Medicine and Biosciences, Norwegian University of Life Sciences, Oslo, Norway.

Facultad de Veterinaria, Universidad Complutense de Madrid, Madrid, Spain.

出版信息

J Vet Intern Med. 2016 Jan-Feb;30(1):230-41. doi: 10.1111/jvim.13812. Epub 2015 Dec 21.

Abstract

BACKGROUND

Ovarian hormones play crucial roles in mammary carcinogenesis. However, whether ovarian ablation by ovariohysterectomy (OHE) improves the prognosis in dogs with mammary carcinomas is unclear.

OBJECTIVES

Determine if OHE at the time of mastectomy improves the prognosis in dogs with mammary carcinomas and evaluate if hormonal factors influence the effect of OHE.

ANIMALS

Sixty intact dogs with mammary carcinomas.

METHODS

Dogs were randomly assigned in a 1:1 ratio to undergo OHE (n = 31) or not (n = 29) at the time of tumor removal. Peri-surgical serum estradiol (E2) and progesterone concentrations were measured, tumor diagnosis was confirmed histologically, and tumor estrogen and progesterone receptor status was immunohistochemically determined. The dogs were monitored for recurrence and metastases every 3-4 months for at least 2 years. Uni- and multivariable survival analyses were performed with relapse and all-cause death as endpoints in addition to univariable subgroup analyses.

RESULTS

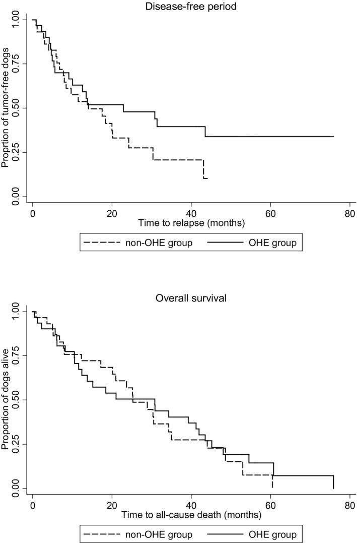
Overall, OHE did not significantly decrease hazard of relapse (hazard ratio [HR], 0.64; P = .18) or all-cause death (HR, 0.87; P = .64) in univariable analyses. In multivariable analysis OHE did not significantly influence the hazard of relapse (HR, 0.54; P = .12), but an interaction effect was identified between ER status and E2 (P = .037). Subgroup analysis identified decreased hazard of relapse in the OHE group compared to the non-OHE group in the subsets of dogs with increased E2 (HR, 0.22; P = .012) or grade 2 tumors (HR, 0.26; P = .02).

CONCLUSION

Dogs with grade 2, ER-positive tumors, or with increased peri-surgical serum E2 concentration represent a subset of dogs with mammary carcinomas likely to benefit from OHE.

摘要

背景

卵巢激素在乳腺癌发生过程中起关键作用。然而,卵巢子宫切除术(OHE)进行卵巢切除是否能改善患有乳腺癌的犬的预后尚不清楚。

目的

确定乳房切除术时进行OHE是否能改善患有乳腺癌的犬的预后,并评估激素因素是否影响OHE的效果。

动物

60只患有乳腺癌的未绝育犬。

方法

犬在肿瘤切除时按1:1比例随机分配接受OHE(n = 31)或不接受OHE(n = 29)。测量围手术期血清雌二醇(E2)和孕酮浓度,通过组织学确认肿瘤诊断,并通过免疫组织化学确定肿瘤雌激素和孕酮受体状态。每3 - 4个月对犬进行至少2年的复发和转移监测。以复发和全因死亡为终点进行单变量和多变量生存分析,此外还进行单变量亚组分析。

结果

总体而言,在单变量分析中,OHE并未显著降低复发风险(风险比[HR],0.64;P = 0.18)或全因死亡风险(HR,0.87;P = 0.64)。在多变量分析中,OHE并未显著影响复发风险(HR,0.54;P = 0.12),但发现雌激素受体(ER)状态与E2之间存在交互作用(P = 0.037)。亚组分析发现,在E2升高(HR,0.22;P = 0.012)或2级肿瘤(HR,0.26;P = 0.02)的犬亚组中,与未接受OHE组相比,接受OHE组的复发风险降低。

结论

患有2级、ER阳性肿瘤或围手术期血清E2浓度升高的犬是可能从OHE中获益的乳腺癌犬的一个亚组。

https://cdn.ncbi.nlm.nih.gov/pmc/blobs/9182/4913665/828bc1444d50/JVIM-30-230-g001.jpg

文献AI研究员

20分钟写一篇综述,助力文献阅读效率提升50倍。

立即体验

用中文搜PubMed

大模型驱动的PubMed中文搜索引擎

马上搜索

文档翻译

学术文献翻译模型,支持多种主流文档格式。

立即体验