• 文献检索
  • 文档翻译
  • 深度研究
  • 学术资讯
  • Suppr Zotero 插件Zotero 插件
  • 邀请有礼
  • 套餐&价格
  • 历史记录
应用&插件
Suppr Zotero 插件Zotero 插件浏览器插件Mac 客户端Windows 客户端微信小程序
定价
高级版会员购买积分包购买API积分包
服务
文献检索文档翻译深度研究API 文档MCP 服务
关于我们
关于 Suppr公司介绍联系我们用户协议隐私条款
关注我们

Suppr 超能文献

核心技术专利:CN118964589B侵权必究
粤ICP备2023148730 号-1Suppr @ 2026

文献检索

告别复杂PubMed语法,用中文像聊天一样搜索,搜遍4000万医学文献。AI智能推荐,让科研检索更轻松。

立即免费搜索

文件翻译

保留排版,准确专业,支持PDF/Word/PPT等文件格式,支持 12+语言互译。

免费翻译文档

深度研究

AI帮你快速写综述,25分钟生成高质量综述,智能提取关键信息,辅助科研写作。

立即免费体验

寻找平衡:通过控制生育来管理濒危岩大袋鼠种群的碎片化。

Finding the Balance: Fertility Control for the Management of Fragmented Populations of a Threatened Rock-Wallaby Species.

机构信息

School of Animal Biology, The University of Western Australia, M092, 35 Stirling Highway, Crawley, WA 6009, Australia.

Department of Parks and Wildlife, Locked Bag 104, Bentley Delivery Centre, WA 6983, Australia.

出版信息

Animals (Basel). 2015 Dec 16;5(4):1329-44. doi: 10.3390/ani5040414.

DOI:10.3390/ani5040414
PMID:26694471
原文链接:https://pmc.ncbi.nlm.nih.gov/articles/PMC4693218/
Abstract

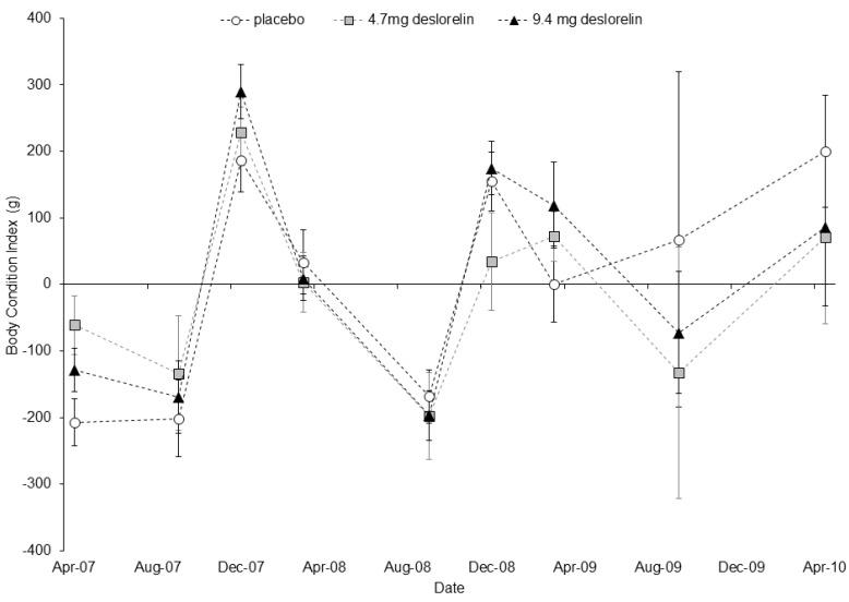
Populations of Australian marsupials can become overabundant, resulting in detrimental impacts on the environment. For example, the threatened black-flanked rock-wallaby ( Petrogale lateralis lateralis ) has previously been perceived as overabundant and thus 'unwanted' when they graze crops and cause habitat degradation. Hormonally-induced fertility control has been increasingly used to manage population size in other marsupials where alternative management options are not viable. We tested whether deslorelin, a superagonist of gonadotropin-releasing hormone (GnRH), would suppress reproduction in free-living adult female rock-wallabies without adversely impacting body condition. We trapped, synchronised reproduction and allocated female rock-wallabies to a placebo implant (control, n = 22), one (n = 22) or two (n = 20) subcutaneous implants of deslorelin. Females were then recaptured over the following 36 months to monitor reproduction, including Luteinising Hormone levels, and body condition. Following treatment, diapaused blastocysts reactivated in five females and the resulting young were carried through to weaning. No wallabies treated with deslorelin, conceivede a new young for at least 27 months. We did not observe adverse effects on body condition on treated females. We conclude that deslorelin implants are effective for the medium-term suppression of reproduction in female black-flanked rock-wallabies and for managing overabundant populations of some marsupials.

摘要

澳大利亚有袋类动物的数量可能会过多,对环境造成不利影响。例如,受威胁的黑边岩大袋鼠(Petrogale lateralis lateralis)曾被认为数量过多,当它们啃食庄稼并导致栖息地退化时,就成为了“不受欢迎的”物种。在其他有袋动物中,激素诱导的生育控制越来越多地被用于控制种群数量,因为其他管理方法不可行。我们测试了促性腺激素释放激素(GnRH)的超级激动剂——地洛瑞林(deslorelin)是否会抑制自由生活的成年雌性岩大袋鼠的繁殖,而不会对其身体状况产生不利影响。我们对岩大袋鼠进行了诱捕、同步繁殖,并将雌性岩大袋鼠分配到安慰剂植入物(对照组,n=22)、一个(n=22)或两个(n=20)地洛瑞林皮下植入物中。然后在接下来的 36 个月内重新捕获雌性岩大袋鼠,以监测繁殖情况,包括黄体生成素(Luteinising Hormone)水平和身体状况。治疗后,有 5 只雌性的休眠胚泡重新激活,随后的幼崽被带到断奶。至少 27 个月内,没有接受地洛瑞林治疗的岩大袋鼠受孕并产下新幼崽。我们没有观察到治疗雌性的身体状况出现不良反应。我们得出结论,地洛瑞林植入物可有效抑制雌性黑边岩大袋鼠的中期繁殖,并可用于管理某些有袋动物的过度繁殖种群。

https://cdn.ncbi.nlm.nih.gov/pmc/blobs/5508/4693218/8fcfba178e23/animals-05-00414-g004.jpg
https://cdn.ncbi.nlm.nih.gov/pmc/blobs/5508/4693218/8eeafaf0ff94/animals-05-00414-g001.jpg
https://cdn.ncbi.nlm.nih.gov/pmc/blobs/5508/4693218/e11b193234a0/animals-05-00414-g002.jpg
https://cdn.ncbi.nlm.nih.gov/pmc/blobs/5508/4693218/68042de1e95d/animals-05-00414-g003.jpg
https://cdn.ncbi.nlm.nih.gov/pmc/blobs/5508/4693218/8fcfba178e23/animals-05-00414-g004.jpg
https://cdn.ncbi.nlm.nih.gov/pmc/blobs/5508/4693218/8eeafaf0ff94/animals-05-00414-g001.jpg
https://cdn.ncbi.nlm.nih.gov/pmc/blobs/5508/4693218/e11b193234a0/animals-05-00414-g002.jpg
https://cdn.ncbi.nlm.nih.gov/pmc/blobs/5508/4693218/68042de1e95d/animals-05-00414-g003.jpg
https://cdn.ncbi.nlm.nih.gov/pmc/blobs/5508/4693218/8fcfba178e23/animals-05-00414-g004.jpg

相似文献

1
Finding the Balance: Fertility Control for the Management of Fragmented Populations of a Threatened Rock-Wallaby Species.寻找平衡:通过控制生育来管理濒危岩大袋鼠种群的碎片化。
Animals (Basel). 2015 Dec 16;5(4):1329-44. doi: 10.3390/ani5040414.
2
Long-term effects of deslorelin implants on reproduction in the female tammar wallaby (Macropus eugenii).去甲雄三烯醇酮植入剂对雌性帚尾袋貂(Macropus eugenii)繁殖的长期影响。
Reproduction. 2005 Mar;129(3):361-9. doi: 10.1530/rep.1.00432.
3
Long-term fertility control in the kangaroo and the wallaby using levonorgestrel implants.
Reprod Suppl. 2002;60:71-80.
4
A role for selective contraception of individuals in conservation.个体选择性避孕在保护中的作用。
Conserv Biol. 2018 Jun;32(3):546-558. doi: 10.1111/cobi.13042. Epub 2018 Mar 10.
5
Diversity of Cryptosporidium in brush-tailed rock-wallabies (Petrogale penicillata) managed within a species recovery programme.在一个物种恢复计划中管理的刷尾岩袋鼠(Petrogale penicillata)体内隐孢子虫的多样性。
Int J Parasitol Parasites Wildl. 2015 Mar 3;4(2):190-6. doi: 10.1016/j.ijppaw.2015.02.005. eCollection 2015 Aug.
6
Chronic treatment of male tammar wallabies with deslorelin implants during pouch life: effects on development, puberty, and reproduction in adulthood.在育儿袋期对雄性帚尾袋貂长期植入去甲雄三烯醇酮:对成年期发育、青春期和繁殖的影响
Biol Reprod. 2007 Jun;76(6):1054-61. doi: 10.1095/biolreprod.107.059915. Epub 2007 Feb 28.
7
Effect of deslorelin implants on follicular development, parturition and post-partum oestrus in the tammar wallaby (Macropus eugenii).去甲雄三烯醇酮埋植剂对帚尾袋貂(褐大袋鼠)卵泡发育、分娩及产后发情的影响
Reproduction. 2004 Feb;127(2):265-73. doi: 10.1530/rep.1.00094.
8
Chronic treatment of female tammar wallabies with deslorelin implants during pouch life: effects on reproductive maturation.在育儿袋期对雌性帚尾袋貂长期植入去甲舍林:对生殖成熟的影响。
Reprod Fertil Dev. 2013;25(6):879-89. doi: 10.1071/RD12087.
9
Effects of a gonadotropin-releasing hormone agonist implant on reproduction in a male marsupial, Macropus eugenii.促性腺激素释放激素激动剂植入对雄性有袋动物尤金袋鼠生殖的影响。
Biol Reprod. 2004 Jun;70(6):1836-42. doi: 10.1095/biolreprod.103.025122. Epub 2004 Feb 18.
10
Eimeria species in the Pearson Island Rock Wallaby, Petrogale lateralis pearsoni.皮尔逊岛岩袋鼠(Petrogale lateralis pearsoni)体内的艾美耳球虫种类。
Int J Parasitol. 1998 Dec;28(12):1889-92. doi: 10.1016/s0020-7519(98)00152-0.

本文引用的文献

1
A Reproductive Management Program for an Urban Population of Eastern Grey Kangaroos (Macropus giganteus).针对东部灰袋鼠(大袋鼠属)城市种群的生殖管理计划。
Animals (Basel). 2014 Sep 15;4(3):562-82. doi: 10.3390/ani4030562.
2
Experimental manipulation of female reproduction demonstrates its fitness costs in kangaroos.对雌性袋鼠生殖的实验性操控表明了其繁殖成本。
J Anim Ecol. 2015 Jan;84(1):239-48. doi: 10.1111/1365-2656.12266. Epub 2014 Jul 22.
3
Chronic treatment of female tammar wallabies with deslorelin implants during pouch life: effects on reproductive maturation.
在育儿袋期对雌性帚尾袋貂长期植入去甲舍林:对生殖成熟的影响。
Reprod Fertil Dev. 2013;25(6):879-89. doi: 10.1071/RD12087.
4
Dose-response studies for pituitary and testicular function in male dogs treated with the GnRH superagonist, deslorelin.用促性腺激素释放激素(GnRH)超激动剂地洛瑞林治疗的雄性犬垂体和睾丸功能的剂量反应研究。
Reprod Domest Anim. 2009 Oct;44(5):725-34. doi: 10.1111/j.1439-0531.2008.01060.x.
5
Effects of deslorelin implants on reproduction in the common brushtail possum (Trichosurus vulpecula).去甲雄三烯醇酮植入物对帚尾袋貂(Trichosurus vulpecula)繁殖的影响。
Reprod Fertil Dev. 2007;19(8):899-909. doi: 10.1071/rd07046.
6
Applications of GnRH in the control and management of fertility in female animals.促性腺激素释放激素在雌性动物生育控制与管理中的应用。
Anim Reprod Sci. 2005 Aug;88(1-2):141-53. doi: 10.1016/j.anireprosci.2005.05.007.
7
Long-term effects of deslorelin implants on reproduction in the female tammar wallaby (Macropus eugenii).去甲雄三烯醇酮植入剂对雌性帚尾袋貂(Macropus eugenii)繁殖的长期影响。
Reproduction. 2005 Mar;129(3):361-9. doi: 10.1530/rep.1.00432.
8
The logrank test.对数秩检验。
BMJ. 2004 May 1;328(7447):1073. doi: 10.1136/bmj.328.7447.1073.
9
Effect of deslorelin implants on follicular development, parturition and post-partum oestrus in the tammar wallaby (Macropus eugenii).去甲雄三烯醇酮埋植剂对帚尾袋貂(褐大袋鼠)卵泡发育、分娩及产后发情的影响
Reproduction. 2004 Feb;127(2):265-73. doi: 10.1530/rep.1.00094.
10
Effects of a gonadotropin-releasing hormone agonist implant on reproduction in a male marsupial, Macropus eugenii.促性腺激素释放激素激动剂植入对雄性有袋动物尤金袋鼠生殖的影响。
Biol Reprod. 2004 Jun;70(6):1836-42. doi: 10.1095/biolreprod.103.025122. Epub 2004 Feb 18.