Heffron Renee, Cohen Craig R, Ngure Kenneth, Bukusi Elizabeth, Were Edwin, Kiarie James, Mugo Nelly, Celum Connie, Baeten Jared M
Department of Global Health, University of Washington, Seattle, United States of America.
Department of Epidemiology, University of Washington, Seattle, United States of America.
PLoS One. 2015 Dec 31;10(12):e0145515. doi: 10.1371/journal.pone.0145515. eCollection 2015.
HIV-1 prevention programs targeting HIV-1 serodiscordant couples need to identify couples that are likely to become pregnant to facilitate discussions about methods to minimize HIV-1 risk during pregnancy attempts (i.e. safer conception) or effective contraception when pregnancy is unintended. A clinical prediction tool could be used to identify HIV-1 serodiscordant couples with a high likelihood of pregnancy within one year.
Using standardized clinical prediction methods, we developed and validated a tool to identify heterosexual East African HIV-1 serodiscordant couples with an increased likelihood of becoming pregnant in the next year. Datasets were from three prospectively followed cohorts, including nearly 7,000 couples from Kenya and Uganda participating in HIV-1 prevention trials and delivery projects.
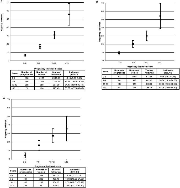
The final score encompassed the age of the woman, woman's number of children living, partnership duration, having had condomless sex in the past month, and non-use of an effective contraceptive. The area under the curve (AUC) for the probability of the score to correctly predict pregnancy was 0.74 (95% CI 0.72-0.76). Scores ≥ 7 predicted a pregnancy incidence of >17% per year and captured 78% of the pregnancies. Internal and external validation confirmed the predictive ability of the score.
A pregnancy likelihood score encompassing basic demographic, clinical and behavioral factors defined African HIV-1 serodiscordant couples with high one-year pregnancy incidence rates. This tool could be used to engage African HIV-1 serodiscordant couples in counseling discussions about fertility intentions in order to offer services for safer conception or contraception that align with their reproductive goals.
针对HIV-1血清学不一致夫妇的HIV-1预防项目需要识别可能怀孕的夫妇,以便在尝试怀孕期间(即更安全的受孕)讨论将HIV-1风险降至最低的方法,或者在意外怀孕时讨论有效的避孕方法。一种临床预测工具可用于识别在一年内怀孕可能性较高的HIV-1血清学不一致夫妇。
我们使用标准化的临床预测方法,开发并验证了一种工具,以识别下一年怀孕可能性增加的东非异性恋HIV-1血清学不一致夫妇。数据集来自三个前瞻性随访队列,包括来自肯尼亚和乌干达参与HIV-1预防试验和分娩项目的近7000对夫妇。
最终得分包括女性年龄、女性现存子女数量、伴侣关系持续时间、过去一个月有无无保护性行为以及是否未使用有效的避孕措施。该得分正确预测怀孕概率的曲线下面积(AUC)为0.74(95%CI 0.72-0.76)。得分≥7预测每年怀孕发生率>17%,并涵盖了78%的怀孕情况。内部和外部验证证实了该得分的预测能力。
一个包含基本人口统计学、临床和行为因素的怀孕可能性得分定义了非洲HIV-1血清学不一致夫妇中一年怀孕发生率较高的情况。该工具可用于让非洲HIV-1血清学不一致夫妇参与关于生育意愿的咨询讨论,以便根据他们的生殖目标提供更安全受孕或避孕的服务。