Suppr超能文献

鸟类启动子中短串联重复序列的进化足迹

Evolutionary Footprints of Short Tandem Repeats in Avian Promoters.

作者信息

Abe Hideaki, Gemmell Neil J

机构信息

Department of Anatomy, University of Otago, Dunedin 9054, New Zealand.

Allan Wilson Centre for Molecular Ecology and Evolution, University of Otago, Dunedin 9054, New Zealand.

出版信息

Sci Rep. 2016 Jan 14;6:19421. doi: 10.1038/srep19421.

Abstract

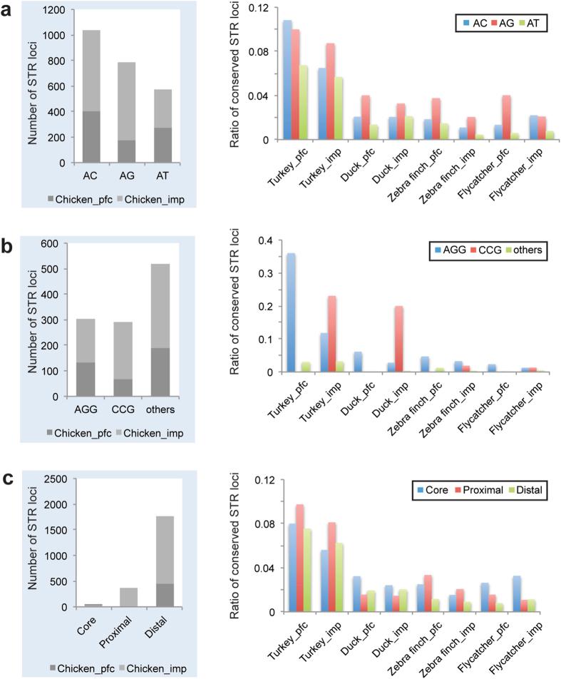
Short tandem repeats (STRs) or microsatellites are well-known sequence elements that may change the spacing between transcription factor binding sites (TFBSs) in promoter regions by expansion or contraction of repetitive units. Some of these mutations have the potential to contribute to phenotypic diversity by altering patterns of gene expression. To explore how repetitive sequence motifs within promoters have evolved in avian lineages under mutation-selection balance, more than 400 evolutionary conserved STRs (ecSTRs) were identified in this study by comparing the 2 kb upstream promoter sequences of chicken against those of other birds (turkey, duck, zebra finch, and flycatcher). The rate of conservation was significantly higher in AG dinucleotide repeats than in AC or AT repeats, with the expansion of AG motifs being noticeably constrained in passerines. Analysis of the relative distance between ecSTRs and TFBSs revealed a significantly higher rate of conserved TFBSs in the vicinity of ecSTRs in both chicken-duck and chicken-passerine comparisons. Our comparative study provides a novel insight into which intrinsic factors have influenced the degree of constraint on repeat expansion/contraction during avian promoter evolution.

摘要

短串联重复序列(STRs)或微卫星是众所周知的序列元件,它们可能通过重复单元的扩增或收缩改变启动子区域中转录因子结合位点(TFBSs)之间的间距。其中一些突变有可能通过改变基因表达模式来促进表型多样性。为了探究在突变 - 选择平衡下,启动子内的重复序列基序在鸟类谱系中是如何进化的,本研究通过比较鸡与其他鸟类(火鸡、鸭、斑胸草雀和鹟)2 kb上游启动子序列,鉴定出400多个进化保守的STRs(ecSTRs)。AG二核苷酸重复序列的保守率显著高于AC或AT重复序列,AG基序的扩增在雀形目中受到明显限制。对ecSTRs与TFBSs之间相对距离的分析表明,在鸡 - 鸭和鸡 - 雀形目比较中,ecSTRs附近的TFBSs保守率显著更高。我们的比较研究为哪些内在因素影响了鸟类启动子进化过程中重复序列扩增/收缩的限制程度提供了新的见解。

https://cdn.ncbi.nlm.nih.gov/pmc/blobs/b53c/4725869/f94ecf8355c0/srep19421-f1.jpg

相似文献

1
Evolutionary Footprints of Short Tandem Repeats in Avian Promoters.
Sci Rep. 2016 Jan 14;6:19421. doi: 10.1038/srep19421.
2
Evolutionary trend of exceptionally long human core promoter short tandem repeats.
Gene. 2012 Oct 1;507(1):61-7. doi: 10.1016/j.gene.2012.07.001. Epub 2012 Jul 13.
3
Abundance, arrangement, and function of sequence motifs in the chicken promoters.
BMC Genomics. 2014 Oct 15;15(1):900. doi: 10.1186/1471-2164-15-900.
7
Microsatellite tandem repeats are abundant in human promoters and are associated with regulatory elements.
PLoS One. 2013;8(2):e54710. doi: 10.1371/journal.pone.0054710. Epub 2013 Feb 6.
8
Exceptional expansion and conservation of a CT-repeat complex in the core promoter of PAXBP1 in primates.
Am J Primatol. 2014 Aug;76(8):747-56. doi: 10.1002/ajp.22266. Epub 2014 Feb 21.
10
Evolutionary constraint in flanking regions of avian genes.
Mol Biol Evol. 2011 Sep;28(9):2481-9. doi: 10.1093/molbev/msr066. Epub 2011 Apr 4.

引用本文的文献

2
Global abundance of short tandem repeats is non-random in rodents and primates.
BMC Genom Data. 2022 Nov 3;23(1):77. doi: 10.1186/s12863-022-01092-4.
3
Tandem repeats ubiquitously flank and contribute to translation initiation sites.
BMC Genom Data. 2022 Jul 27;23(1):59. doi: 10.1186/s12863-022-01075-5.
5
Link between short tandem repeats and translation initiation site selection.
Hum Genomics. 2018 Oct 29;12(1):47. doi: 10.1186/s40246-018-0181-3.
7
Tandem repeats mediating genetic plasticity in health and disease.
Nat Rev Genet. 2018 May;19(5):286-298. doi: 10.1038/nrg.2017.115. Epub 2018 Feb 5.
8
Secondary structure forming sequences drive SD-MMEJ repair of DNA double-strand breaks.
Nucleic Acids Res. 2017 Dec 15;45(22):12848-12861. doi: 10.1093/nar/gkx1056.
9
The human RIT2 core promoter short tandem repeat predominant allele is species-specific in length: a selective advantage for human evolution?
Mol Genet Genomics. 2017 Jun;292(3):611-617. doi: 10.1007/s00438-017-1294-4. Epub 2017 Feb 18.

本文引用的文献

1
A comprehensive phylogeny of birds (Aves) using targeted next-generation DNA sequencing.
Nature. 2015 Oct 22;526(7574):569-73. doi: 10.1038/nature15697. Epub 2015 Oct 7.
2
Abundance, arrangement, and function of sequence motifs in the chicken promoters.
BMC Genomics. 2014 Oct 15;15(1):900. doi: 10.1186/1471-2164-15-900.
3
Core promoter short tandem repeats as evolutionary switch codes for primate speciation.
Am J Primatol. 2015 Jan;77(1):34-43. doi: 10.1002/ajp.22308. Epub 2014 Aug 5.
4
Polymorphic core promoter GA-repeats alter gene expression of the early embryonic developmental genes.
Gene. 2013 Dec 1;531(2):175-9. doi: 10.1016/j.gene.2013.09.032. Epub 2013 Sep 19.
5
Factors influencing ascertainment bias of microsatellite allele sizes: impact on estimates of mutation rates.
Genetics. 2013 Oct;195(2):563-72. doi: 10.1534/genetics.113.154161. Epub 2013 Aug 14.
7
Mature microsatellites: mechanisms underlying dinucleotide microsatellite mutational biases in human cells.
G3 (Bethesda). 2013 Mar;3(3):451-63. doi: 10.1534/g3.112.005173. Epub 2013 Mar 1.
8
Distance and helical phase dependence of synergistic transcription activation in cis-regulatory module.
PLoS One. 2012;7(1):e31198. doi: 10.1371/journal.pone.0031198. Epub 2012 Jan 27.

文献AI研究员

20分钟写一篇综述,助力文献阅读效率提升50倍。

立即体验

用中文搜PubMed

大模型驱动的PubMed中文搜索引擎

马上搜索

文档翻译

学术文献翻译模型,支持多种主流文档格式。

立即体验