Guan Lianyue, Liu Hongyu, Fu Peiyao, Li Zhuonan, Li Peidong, Xie Lijuan, Xin Mingang, Wang Zhanpeng, Li Wei
Department of Hepatobiliary-Pancreatic Surgery, China-Japan Union Hospital of Jilin University, Changchun 130033, China.
Department of Hepatobiliary-Pancreatic Surgery, China-Japan Union Hospital of Jilin University, Changchun 130033, China; Department of Liver Surgery, Key Laboratory of Carcinogenesis and Cancer Invasion of Ministry of Education, Zhongshan Hospital of Fudan University, Shanghai 200032, China.
Oxid Med Cell Longev. 2016;2016:1429835. doi: 10.1155/2016/1429835. Epub 2015 Dec 13.
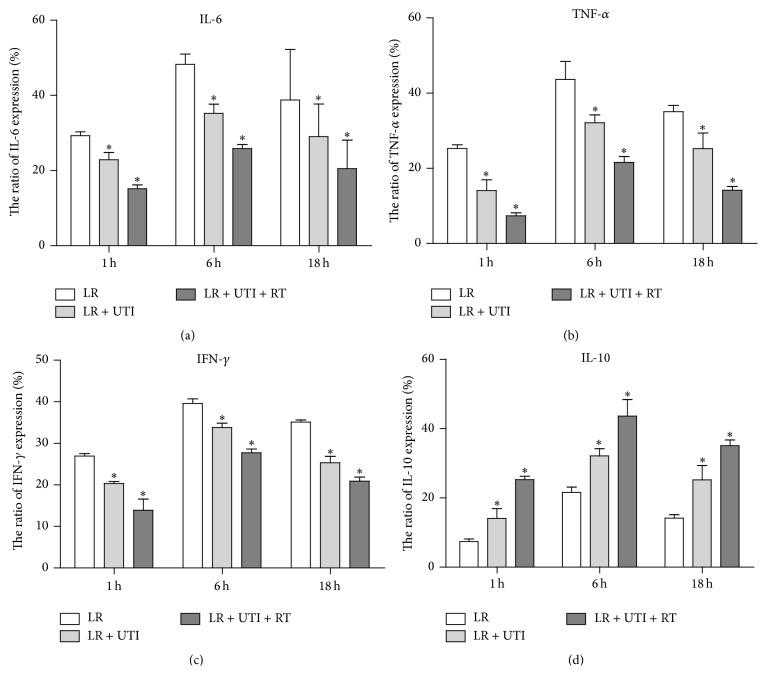
The aim of this study was to explore the protective effects of ulinastatin (urinary trypsin inhibitor, UTI) on liver ischemia-reperfusion injury (IRI) and graft survival. We employed mouse liver cold IRI and orthotopic liver transplantation (OLTx) models. UTI was added to lactated Ringer's (LR) solution for liver perfusion and preservation in vitro or combined with UTI injection intraperitoneally to the liver graft recipient. Our results indicated that UTI supplementation protected the liver from cold IRI in a dose-dependent manner and prolonged liver graft survival from extended cold preserved liver donors significantly. The underlying mechanism of UTI on liver IRI may be mediated by inhibition of proinflammatory cytokine release, increasing the expression of the antiapoptotic gene Bcl-2 and decreasing the expression of the proapoptosis genes of Caspase-3 and Bax, and further protects hepatocytes from apoptotic death and improves liver function.
本研究旨在探讨乌司他丁(尿胰蛋白酶抑制剂,UTI)对肝脏缺血再灌注损伤(IRI)及移植肝存活的保护作用。我们采用了小鼠肝脏冷缺血再灌注及原位肝移植(OLTx)模型。将乌司他丁添加到乳酸林格氏(LR)溶液中用于体外肝脏灌注和保存,或将其与腹腔注射给肝移植受体相结合。我们的结果表明,补充乌司他丁以剂量依赖方式保护肝脏免受冷缺血再灌注损伤,并显著延长了来自延长冷保存肝脏供体的移植肝存活时间。乌司他丁对肝脏缺血再灌注损伤的潜在机制可能是通过抑制促炎细胞因子释放、增加抗凋亡基因Bcl-2的表达以及降低促凋亡基因Caspase-3和Bax的表达来介导的,进而保护肝细胞免于凋亡死亡并改善肝功能。