Kataoka Takahiro, Horie Shunsuke, Etani Reo, Kanzaki Norie, Sasaoka Kaori, Kobashi Yusuke, Hanamoto Katsumi, Yamaoka Kiyonori
Graduate School of Health Sciences, Okayama University, 5-1 Shikata-cho, 2-chome, Kita-ku, Okayama-shi, Okayama 700-8558, Japan.
Oxid Med Cell Longev. 2016;2016:9853692. doi: 10.1155/2016/9853692. Epub 2015 Dec 21.
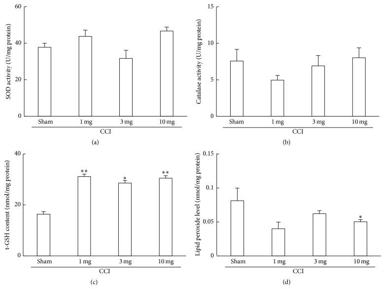
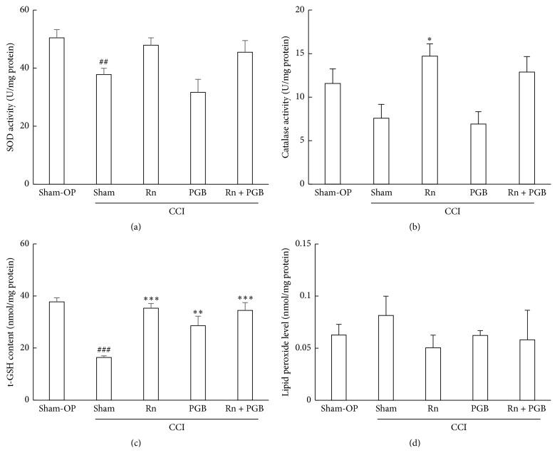
Radon inhalation brings pain relief for chronic constriction injury- (CCI-) induced neuropathic pain in mice due to the activation of antioxidative functions, which is different from the mechanism of the pregabalin effect. In this study, we assessed whether a combination of radon inhalation and pregabalin administration is more effective against neuropathic pain than radon or pregabalin only. Mice were treated with inhaled radon at a concentration of 1,000 Bq/m(3) for 24 hours and pregabalin administration after CCI surgery. In mice treated with pregabalin at a dose of 3 mg/kg weight, the 50% paw withdrawal threshold of mice treated with pregabalin or radon and pregabalin was significantly increased, suggesting pain relief. The therapeutic effects of radon inhalation or the combined effects of radon and pregabalin (3 mg/kg weight) were almost equivalent to treatment with pregabalin at a dose of 1.4 mg/kg weight or 4.1 mg/kg weight, respectively. Radon inhalation and the combination of radon and pregabalin increased antioxidant associated substances in the paw. The antioxidant substances increased much more in radon inhalation than in pregabalin administration. These findings suggested that the activation of antioxidative functions by radon inhalation enhances the pain relief of pregabalin and that this combined effect is probably an additive effect.
吸入氡气可缓解小鼠因慢性缩窄性损伤(CCI)诱导的神经性疼痛,这是由于抗氧化功能的激活,其机制不同于普瑞巴林的作用机制。在本研究中,我们评估了吸入氡气与给予普瑞巴林联合使用是否比单独使用氡气或普瑞巴林对神经性疼痛更有效。小鼠在CCI手术后接受浓度为1000 Bq/m³的吸入氡气治疗24小时,并给予普瑞巴林。给予体重3 mg/kg剂量普瑞巴林治疗的小鼠、给予氡气和普瑞巴林治疗的小鼠,其50%爪撤离阈值显著升高,表明疼痛得到缓解。吸入氡气的治疗效果或氡气与普瑞巴林(体重3 mg/kg)的联合效果分别几乎等同于给予体重1.4 mg/kg或4.1 mg/kg剂量普瑞巴林的治疗效果。吸入氡气以及氡气与普瑞巴林的联合使用均增加了爪中的抗氧化相关物质。吸入氡气后抗氧化物质的增加比给予普瑞巴林后更多。这些发现表明,吸入氡气激活抗氧化功能可增强普瑞巴林的镇痛效果,且这种联合作用可能是一种相加作用。