Suppr超能文献

基于挖掘TCGA数据探讨雄激素受体在肾透明细胞癌中的保护作用

A Protective Role for Androgen Receptor in Clear Cell Renal Cell Carcinoma Based on Mining TCGA Data.

作者信息

Zhao Hongjuan, Leppert John T, Peehl Donna M

机构信息

Department of Urology, Stanford University School of Medicine, Stanford, California, United States of America.

Veterans Affairs Palo Alto Health Care System, Palo Alto, California, United States of America.

出版信息

PLoS One. 2016 Jan 27;11(1):e0146505. doi: 10.1371/journal.pone.0146505. eCollection 2016.

Abstract

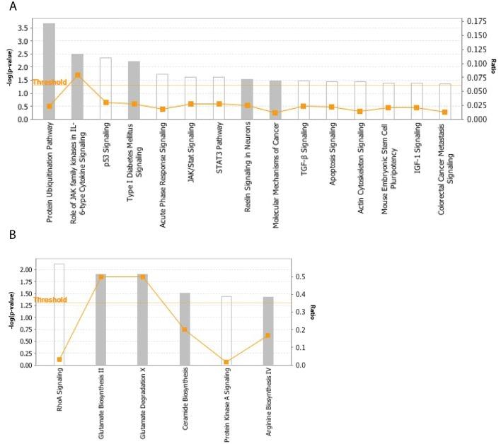
Androgen receptor (AR) is expressed in normal murine and human kidneys of both genders, but its physiologic role is uncertain. Several studies showed loss of AR in renal cell carcinoma (RCC) in conjunction with increasing clinical stage and pathological grade, but others found that higher AR expression correlated with worse outcomes. Limited functional studies with renal cell lines suggested tumor-promoting activity of AR. In this study, we queried transcriptomic, proteomic, epigenetic and survival data from The Cancer Genome Atlas (TCGA) to evaluate AR expression and its association with overall survival in three subtypes of RCC (clear cell [ccRCC], papillary [pRCC], and chromophobe [chRCC]). We found that although there was no significant difference in AR mRNA expression in ccRCC of males vs. females, AR protein expression in ccRCC was significantly higher in male compared to female patients. More importantly, higher expression of AR at both transcript and protein levels was associated with improved overall survival in both genders with ccRCC, but did not predict survival of either gender with pRCC or chRCC. Genes whose transcript levels were associated with AR mRNA levels significantly overlapped between ccRCC and pRCC, but not with chRCC, suggesting a similar transcriptional program mediated by AR in ccRCC and pRCC. Ingenuity pathway analysis also identified overlapping pathways and upstream regulators enriched in AR-associated genes in ccRCC and pRCC. Hypermethylation of CpG sites located in the promoter and first exon of AR was associated with loss of AR expression and poor overall survival. Our findings support a tumor suppressor role for AR in both genders that might be exploited to decrease the incidence or progression of ccRCC.

摘要

雄激素受体(AR)在正常的雄性和雌性小鼠及人类肾脏中均有表达,但其生理作用尚不确定。多项研究表明,肾细胞癌(RCC)中AR缺失与临床分期增加和病理分级升高相关,但其他研究发现,较高的AR表达与较差的预后相关。对肾癌细胞系的有限功能研究表明AR具有促肿瘤活性。在本研究中,我们查询了癌症基因组图谱(TCGA)的转录组学、蛋白质组学、表观遗传学和生存数据,以评估AR表达及其与三种RCC亚型(透明细胞型[ccRCC]、乳头状型[pRCC]和嫌色细胞型[chRCC])总生存的关联。我们发现,尽管ccRCC中男性与女性的AR mRNA表达无显著差异,但与女性患者相比,ccRCC中男性的AR蛋白表达显著更高。更重要的是,ccRCC患者中,无论男性还是女性,转录水平和蛋白水平上较高的AR表达均与总生存改善相关,但不能预测pRCC或chRCC患者中任何一种性别的生存情况。转录水平与AR mRNA水平相关的基因在ccRCC和pRCC之间有显著重叠,但与chRCC无重叠,提示AR在ccRCC和pRCC中介导了相似的转录程序。通路分析还确定了ccRCC和pRCC中AR相关基因富集的重叠通路和上游调节因子。AR启动子和第一外显子中CpG位点的高甲基化与AR表达缺失及总生存较差相关。我们的研究结果支持AR在两性中均具有肿瘤抑制作用,这可能有助于降低ccRCC的发病率或进展。

https://cdn.ncbi.nlm.nih.gov/pmc/blobs/5a15/4729482/39a86e13b696/pone.0146505.g001.jpg

文献检索

告别复杂PubMed语法,用中文像聊天一样搜索,搜遍4000万医学文献。AI智能推荐,让科研检索更轻松。

立即免费搜索

文件翻译

保留排版,准确专业,支持PDF/Word/PPT等文件格式,支持 12+语言互译。

免费翻译文档

深度研究

AI帮你快速写综述,25分钟生成高质量综述,智能提取关键信息,辅助科研写作。

立即免费体验