Suppr超能文献

结肠切除术后的腹膜环境增加结肠癌细胞迁移能力。

Postcolectomy Peritoneal Environment Increases Colon Cancer Cell Migration Capacity.

作者信息

Berkovich Liron, Ghinea Ronen, Majdop Salem, Shpitz Baruch, White Ian, Mishaeli Moshe, Avital Shmuel

机构信息

Department of Surgery B, Meir Medical Center, 44281 Kfar Saba, Israel; Sackler Faculty of Medicine, Tel-Aviv University, 6997801 Tel-Aviv, Israel.

Sackler Faculty of Medicine, Tel-Aviv University, 6997801 Tel-Aviv, Israel; Department of Oncology, Meir Medical Center, 44281 Kfar Saba, Israel.

出版信息

Gastroenterol Res Pract. 2016;2016:2540397. doi: 10.1155/2016/2540397. Epub 2015 Dec 27.

Abstract

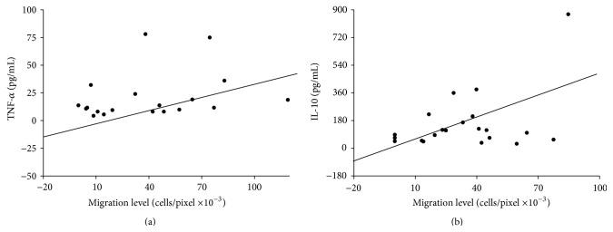
Background. Clinical data and animal models support an association between postoperative inflammatory response and the risk of colorectal cancer recurrence. Our aim was to evaluate postoperative peritoneal inflammation and its impact on cultured colon cancer cells' migration capacity. Methods. 23 patients undergoing elective colorectal resection with uneventful recovery were prospectively enrolled. Patients were operated on for both malignant and benign etiologies. Peritoneal fluids collected at surgery initiation and after surgery were evaluated for their effect on migration potential of human colon cancer cells using an in vitro scratch assay and on TNF-α, IL-1β, IL-6, and IL-10 levels using bead-based fluorokine-linked multianalyte profiling. Results. Postoperative peritoneal fluid from all patients increased the migration capacity of colon cancer cells compared to preoperative levels. This effect was significant during the first two postoperative days and decreased thereafter. The increase in colon cancer cell migration capacity correlated with increased levels of peritoneal TNF-α and IL-10. Conclusion. In this pilot study, we have demonstrated that the intraperitoneal environment following colorectal resection significantly enhances colon cancer cells migration capacity. This effect is associated with postoperative intra-abdominal cytokines level. A larger scale study in colorectal cancer patients is needed in order to correlate these findings with perioperative parameters and clinical outcome.

摘要

背景。临床数据和动物模型支持术后炎症反应与结直肠癌复发风险之间存在关联。我们的目的是评估术后腹膜炎症及其对培养的结肠癌细胞迁移能力的影响。方法。前瞻性纳入23例接受择期结直肠癌切除术且恢复顺利的患者。患者因恶性和良性病因接受手术。在手术开始时和手术后收集的腹膜液,使用体外划痕试验评估其对人结肠癌细胞迁移潜能的影响,并使用基于微珠的荧光素连接多分析物谱分析评估其对TNF-α、IL-1β、IL-6和IL-10水平的影响。结果。与术前水平相比,所有患者的术后腹膜液均增加了结肠癌细胞的迁移能力。这种效应在术后前两天显著,此后下降。结肠癌细胞迁移能力的增加与腹膜TNF-α和IL-10水平的升高相关。结论。在这项初步研究中,我们证明了结直肠癌切除术后的腹腔内环境显著增强了结肠癌细胞的迁移能力。这种效应与术后腹腔内细胞因子水平有关。需要对结直肠癌患者进行更大规模的研究,以便将这些发现与围手术期参数和临床结果相关联。

https://cdn.ncbi.nlm.nih.gov/pmc/blobs/57be/4706905/1ebca9e62db4/GRP2016-2540397.001.jpg

文献AI研究员

20分钟写一篇综述,助力文献阅读效率提升50倍。

立即体验

用中文搜PubMed

大模型驱动的PubMed中文搜索引擎

马上搜索

文档翻译

学术文献翻译模型,支持多种主流文档格式。

立即体验