Suppr超能文献

通过自动γ-H2AX和53BP1病灶检测分析早期多发性硬化症患者淋巴细胞DNA损伤:一项病例对照研究。

Analysis of Lymphocytic DNA Damage in Early Multiple Sclerosis by Automated Gamma-H2AX and 53BP1 Foci Detection: A Case Control Study.

作者信息

Rasche Ludwig, Heiserich Lisa, Behrens Janina Ruth, Lenz Klaus, Pfuhl Catherina, Wakonig Katharina, Gieß René Markus, Freitag Erik, Eberle Caroline, Wuerfel Jens, Dörr Jan, Bauer Peter, Bellmann-Strobl Judith, Paul Friedemann, Roggenbuck Dirk, Ruprecht Klemens

机构信息

NeuroCure Clinical Research Center, Charité - Universitätsmedizin Berlin, Berlin, Germany.

Clinical and Experimental Multiple Sclerosis Research Center, Charité - Universitätsmedizin Berlin, Berlin, Germany.

出版信息

PLoS One. 2016 Jan 28;11(1):e0147968. doi: 10.1371/journal.pone.0147968. eCollection 2016.

Abstract

BACKGROUND

In response to DNA double-strand breaks, the histone protein H2AX becomes phosphorylated at its C-terminal serine 139 residue, referred to as γ-H2AX. Formation of γ-H2AX foci is associated with recruitment of p53-binding protein 1 (53BP1), a regulator of the cellular response to DNA double-strand breaks. γ-H2AX expression in peripheral blood mononuclear cells (PBMCs) was recently proposed as a diagnostic and disease activity marker for multiple sclerosis (MS).

OBJECTIVE

To evaluate the significance of γ-H2AX and 53BP1 foci in PBMCs as diagnostic and disease activity markers in patients with clinically isolated syndrome (CIS) and early relapsing-remitting MS (RRMS) using automated γ-H2AX and 53BP1 foci detection.

METHODS

Immunocytochemistry was performed on freshly isolated PBMCs of patients with CIS/early RRMS (n = 25) and healthy controls (n = 27) with γ-H2AX and 53BP1 specific antibodies. Nuclear γ-H2AX and 53BP1 foci were determined using a fully automated reading system, assessing the numbers of γ-H2AX and 53BP1 foci per total number of cells and the percentage of cells with foci. Patients underwent contrast enhanced 3 Tesla magnetic resonance imaging (MRI) and clinical examination including expanded disability status scale (EDSS) score. γ-H2AX and 53BP1 were also compared in previously frozen PBMCs of each 10 CIS/early RRMS patients with and without contrast enhancing lesions (CEL) and 10 healthy controls.

RESULTS

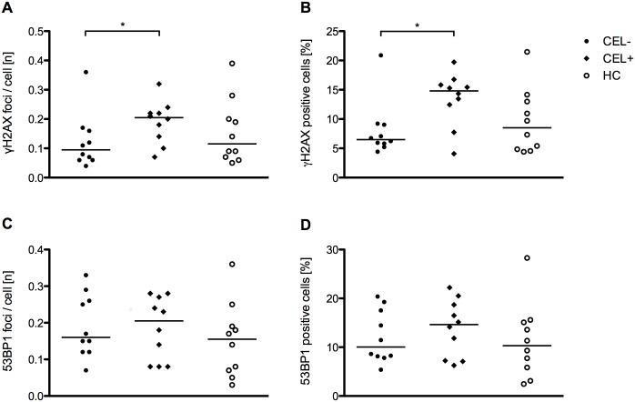
The median (range) number of γ-H2AX (0.04 [0-0.5]) and 53BP1 (0.005 [0-0.2]) foci per cell in freshly isolated PBMCs across all study participants was low and similar to previously reported values of healthy individuals. For both, γ-H2AX and 53BP1, the cellular focus number as well as the percentage of positive cells did not differ between patients with CIS/RRMS and healthy controls. γ-H2AX and 53BP1 levels neither correlated with number nor volume of T2-weighted lesions on MRI, nor with the EDSS. Although γ-H2AX, but not 53BP1, levels were higher in previously frozen PBMCs of patients with than without CEL, γ-H2AX values of both groups overlapped and γ-H2AX did not correlate with the number or volume of CEL.

CONCLUSION

γ-H2AX and 53BP1 foci do not seem to be promising diagnostic or disease activity biomarkers in patients with early MS. Lymphocytic DNA double-strand breaks are unlikely to play a major role in the pathophysiology of MS.

摘要

背景

为应对DNA双链断裂,组蛋白H2AX在其C末端丝氨酸139残基处发生磷酸化,称为γ-H2AX。γ-H2AX灶的形成与p53结合蛋白1(53BP1)的募集有关,53BP1是细胞对DNA双链断裂反应的调节因子。外周血单个核细胞(PBMC)中γ-H2AX的表达最近被提议作为多发性硬化症(MS)的诊断和疾病活动标志物。

目的

使用自动化γ-H2AX和53BP1灶检测,评估PBMC中γ-H2AX和53BP1灶作为临床孤立综合征(CIS)和早期复发缓解型MS(RRMS)患者的诊断和疾病活动标志物的意义。

方法

对CIS/早期RRMS患者(n = 25)和健康对照者(n = 27)新鲜分离的PBMC进行免疫细胞化学检测,使用γ-H2AX和53BP1特异性抗体。使用全自动读取系统确定核γ-H2AX和53BP1灶,评估每个细胞中γ-H2AX和53BP1灶的数量以及有灶细胞的百分比。患者接受了3特斯拉对比增强磁共振成像(MRI)和包括扩展残疾状态量表(EDSS)评分在内的临床检查。还比较了10例有和没有对比增强病灶(CEL)的CIS/早期RRMS患者以及10例健康对照者先前冷冻的PBMC中的γ-H2AX和53BP1。

结果

所有研究参与者新鲜分离的PBMC中,每个细胞的γ-H2AX(中位数[范围]为0.04 [0 - 0.5])和53BP1(0.005 [0 - 0.2])灶数量较低,与先前报道的健康个体值相似。对于γ-H2AX和53BP1,CIS/RRMS患者和健康对照者之间的细胞灶数量以及阳性细胞百分比没有差异。γ-H2AX和53BP1水平与MRI上T2加权病灶的数量和体积均无相关性,也与EDSS无关。尽管在有CEL的患者先前冷冻的PBMC中γ-H2AX水平较高,而53BP1水平不高,但两组的γ-H2AX值有重叠,且γ-H2AX与CEL的数量或体积无关。

结论

γ-H2AX和53BP1灶似乎不是早期MS患者有前景的诊断或疾病活动生物标志物。淋巴细胞DNA双链断裂在MS的病理生理学中不太可能起主要作用。

https://cdn.ncbi.nlm.nih.gov/pmc/blobs/8ebb/4731473/3776401e9b3c/pone.0147968.g001.jpg

文献AI研究员

20分钟写一篇综述,助力文献阅读效率提升50倍。

立即体验

用中文搜PubMed

大模型驱动的PubMed中文搜索引擎

马上搜索

文档翻译

学术文献翻译模型,支持多种主流文档格式。

立即体验