Suppr超能文献

通过长期连续动态心电图监测检测到的潜在高风险心律失常的发生率和发生时间。

Incidence and timing of potentially high-risk arrhythmias detected through long term continuous ambulatory electrocardiographic monitoring.

作者信息

Solomon Matthew D, Yang Jingrong, Sung Sue Hee, Livingston Martha L, Sarlas George, Lenane Judith C, Go Alan S

机构信息

Division of Research, Kaiser Permanente Northern California, Oakland, CA, USA.

Stanford University School of Medicine, Stanford, CA, USA.

出版信息

BMC Cardiovasc Disord. 2016 Feb 17;16:35. doi: 10.1186/s12872-016-0210-x.

Abstract

BACKGROUND

Ambulatory electrocardiographic (ECG) monitoring is the standard to screen for high-risk arrhythmias. We evaluated the clinical utility of a novel, leadless electrode, single-patient-use ECG monitor that stores up to 14 days of a continuous recording to measure the burden and timing of potentially high-risk arrhythmias.

METHODS

We examined data from 122,815 long term continuous ambulatory monitors (iRhythm ZIO® Service, San Francisco) prescribed from 2011 to 2013 and categorized potentially high-risk arrhythmias into two types: (1) ventricular arrhythmias including non-sustained and sustained ventricular tachycardia and (2) bradyarrhythmias including sinus pauses >3 s, atrial fibrillation pauses >5 s, and high-grade heart block (Mobitz Type II or third-degree heart block).

RESULTS

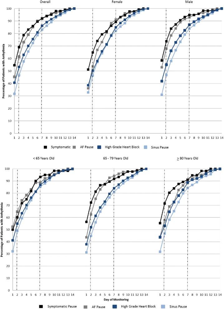
Of 122,815 ZIO® recordings, median wear time was 9.9 (IQR 6.8-13.8) days and median analyzable time was 9.1 (IQR 6.4-13.1) days. There were 22,443 (18.3%) with at least one episode of non-sustained ventricular tachycardia (NSVT), 238 (0.2%) with sustained VT, 1766 (1.4%) with a sinus pause >3 s (SP), 520 (0.4%) with a pause during atrial fibrillation >5 s (AFP), and 1486 (1.2%) with high-grade heart block (HGHB). Median time to first arrhythmia was 74 h (IQR 26-149 h) for NSVT, 22 h (IQR 5-73 h) for sustained VT, 22 h (IQR 7-64 h) for SP, 31 h (IQR 11-82 h) for AFP, and 40 h (SD 10-118 h) for HGHB.

CONCLUSIONS

A significant percentage of potentially high-risk arrhythmias are not identified within 48-h of ambulatory ECG monitoring. Longer-term continuous ambulatory ECG monitoring provides incremental detection of these potentially clinically relevant arrhythmic events.

摘要

背景

动态心电图(ECG)监测是筛查高危心律失常的标准方法。我们评估了一种新型的、无导联电极、仅供单人使用的ECG监测仪的临床效用,该监测仪可存储长达14天的连续记录,以测量潜在高危心律失常的负担和发作时间。

方法

我们检查了2011年至2013年开具的122,815份长期连续动态监测仪(iRhythm ZIO®服务,旧金山)的数据,并将潜在高危心律失常分为两类:(1)室性心律失常,包括非持续性和持续性室性心动过速;(2)缓慢性心律失常,包括窦性停搏>3秒、房颤停搏>5秒和高度房室传导阻滞(莫氏Ⅱ型或三度房室传导阻滞)。

结果

在122,815份ZIO®记录中,中位佩戴时间为9.9(四分位间距6.8-13.8)天,中位可分析时间为9.1(四分位间距6.4-13.1)天。有22,443例(18.3%)至少有一次非持续性室性心动过速(NSVT)发作,238例(0.2%)有持续性室速,1766例(1.4%)有窦性停搏>3秒(SP),520例(0.4%)有房颤期间停搏>5秒(AFP),1486例(1.2%)有高度房室传导阻滞(HGHB)。NSVT首次心律失常的中位时间为74小时(四分位间距26-149小时),持续性室速为22小时(四分位间距5-73小时),SP为22小时(四分位间距7-64小时),AFP为31小时(四分位间距11-82小时),HGHB为40小时(标准差10-118小时)。

结论

在动态心电图监测的48小时内,有相当比例的潜在高危心律失常未被识别。长期连续动态心电图监测可增加对这些潜在临床相关心律失常事件的检测。

https://cdn.ncbi.nlm.nih.gov/pmc/blobs/4b00/4756401/cc15b65102ba/12872_2016_210_Fig1_HTML.jpg

文献AI研究员

20分钟写一篇综述,助力文献阅读效率提升50倍。

立即体验

用中文搜PubMed

大模型驱动的PubMed中文搜索引擎

马上搜索

文档翻译

学术文献翻译模型,支持多种主流文档格式。

立即体验