Suppr超能文献

作为碱性能量转换与存储装置候选材料的石墨电极的表面功能及电化学研究。

Surface functionality and electrochemical investigations of a graphitic electrode as a candidate for alkaline energy conversion and storage devices.

作者信息

Soliman Ahmed B, Abdel-Samad Hesham S, Abdel Rehim Sayed S, Hassan Hamdy H

机构信息

Chemistry Department, Faculty of science, Ain-Shams University, Abbasia, Cairo, 11566, Egypt.

出版信息

Sci Rep. 2016 Feb 26;6:22056. doi: 10.1038/srep22056.

Abstract

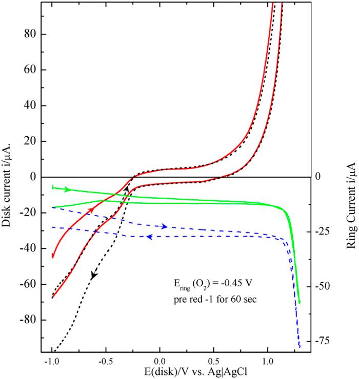
Graphite is a typical electrocatalyst support in alkaline energy conversion and storage devices such as fuel cells, supercapacitores and lithium ion batteries. The electrochemical behaviour of a graphite electrode in 0.5 M NaOH was studied to elucidate its surface structure/electrochemical activity relationship. Graphite voltammograms are characterized by an anodic shoulder AI and a cathodic peak CI in addition to the oxygen reduction reaction plateaus, PI and PII. AI and CI were attributed to oxidation and reduction of some graphite surface function groups, respectively. Rotating ring disk electrode (RRDE) study revealed two different oxygen types assigned as inner and outer oxygen. The inner oxygen was reduced via the more efficient 4-electron pathway. The outer oxygen reduction proceeded with a lower efficient 2-electron pathway. The calculated percentages of the 4-electron pathway were ranged from 70% to 90%. A full mechanism for the graphite surface function groups changes over the studied potential window was suggested through the combination between the voltammetric, FT-IR and Raman results.

摘要

石墨是碱性能量转换和存储设备(如燃料电池、超级电容器和锂离子电池)中典型的电催化剂载体。研究了石墨电极在0.5 M NaOH中的电化学行为,以阐明其表面结构/电化学活性关系。石墨伏安图的特征是除了氧还原反应平台PI和PII外,还有一个阳极肩AI和一个阴极峰CI。AI和CI分别归因于某些石墨表面官能团的氧化和还原。旋转环盘电极(RRDE)研究揭示了两种不同类型的氧,分别称为内氧和外氧。内氧通过更有效的4电子途径被还原。外氧还原通过效率较低的2电子途径进行。计算出的4电子途径的百分比范围为70%至90%。通过伏安法、傅里叶变换红外光谱(FT-IR)和拉曼光谱结果的结合,提出了在所研究的电位窗口内石墨表面官能团变化的完整机理。

https://cdn.ncbi.nlm.nih.gov/pmc/blobs/312a/4768093/836733c74560/srep22056-f1.jpg

文献AI研究员

20分钟写一篇综述,助力文献阅读效率提升50倍。

立即体验

用中文搜PubMed

大模型驱动的PubMed中文搜索引擎

马上搜索

文档翻译

学术文献翻译模型,支持多种主流文档格式。

立即体验