Suppr超能文献

时间可变的地理距离效应有助于根系相关真菌群落的组装。

Temporally Variable Geographical Distance Effects Contribute to the Assembly of Root-Associated Fungal Communities.

作者信息

Barnes Christopher J, van der Gast Christopher J, Burns Caitlin A, McNamara Niall P, Bending Gary D

机构信息

School of Life Sciences, Gibbet Hill Campus, University of WarwickCoventry, UK; Section of Evolutionary Genomics, National History Museum of Denmark, University of CopenhagenCopenhagen, Denmark.

Natural Environment Research Council Centre for Ecology and Hydrology Wallingford, UK.

出版信息

Front Microbiol. 2016 Feb 25;7:195. doi: 10.3389/fmicb.2016.00195. eCollection 2016.

Abstract

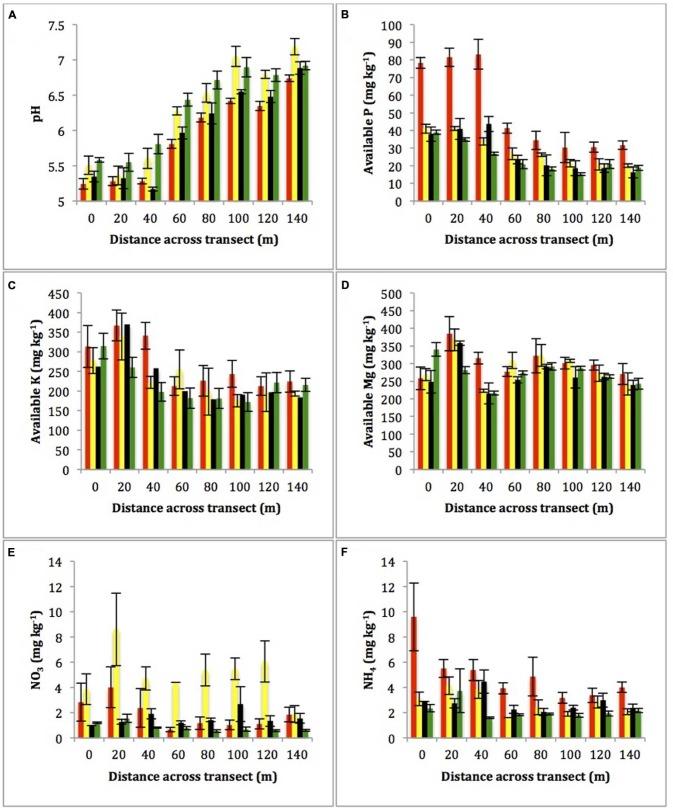
Root-associated fungi are key contributors to ecosystem functioning, however, the factors which determine community assembly are still relatively poorly understood. This study simultaneously quantified the roles of geographical distance, environmental heterogeneity and time in determining root-associated fungal community composition at the local scale within a short rotation coppice (SRC) willow plantation. Culture independent molecular analyses of the root-associated fungal community suggested a strong but temporally variable effect of geographical distance among fungal communities in terms of composition at the local geographical level. Whilst these distance effects were most prevalent on October communities, soil pH had an effect on structuring of the communities throughout the sampling period. Given the temporal variation in the effects of geographical distance and the environment for shaping root-associated fungal communities, there is clearly need for a temporal component to sampling strategies in future investigations of fungal ecology.

摘要

根际真菌是生态系统功能的关键贡献者,然而,决定群落组装的因素仍相对了解不足。本研究同时量化了地理距离、环境异质性和时间在短轮伐期矮林(SRC)柳树人工林局部尺度上决定根际真菌群落组成方面的作用。对根际真菌群落进行的非培养分子分析表明,在局部地理水平上,地理距离对真菌群落组成有强烈但随时间变化的影响。虽然这些距离效应在10月的群落中最为普遍,但在整个采样期间,土壤pH对群落结构有影响。鉴于地理距离和环境对塑造根际真菌群落的影响存在时间变化,在未来真菌生态学研究中,采样策略显然需要一个时间组成部分。

https://cdn.ncbi.nlm.nih.gov/pmc/blobs/cbe1/4766365/d12a328c784d/fmicb-07-00195-g001.jpg

文献AI研究员

20分钟写一篇综述,助力文献阅读效率提升50倍。

立即体验

用中文搜PubMed

大模型驱动的PubMed中文搜索引擎

马上搜索

文档翻译

学术文献翻译模型,支持多种主流文档格式。

立即体验