Cachia A, Borst G, Tissier C, Fisher C, Plaze M, Gay O, Rivière D, Gogtay N, Giedd J, Mangin J-F, Houdé O, Raznahan A
CNRS UMR 8240, Laboratory for the Psychology of Child Development and Education, Paris, France; University Paris Descartes, Sorbonne Paris Cité, Paris, France; INSERM UMR 894, Center of Psychiatry and Neurosciences, Paris, France; Institut Universitaire de France, Paris, France.
CNRS UMR 8240, Laboratory for the Psychology of Child Development and Education, Paris, France; University Paris Descartes, Sorbonne Paris Cité, Paris, France.
Dev Cogn Neurosci. 2016 Jun;19:122-7. doi: 10.1016/j.dcn.2016.02.011. Epub 2016 Mar 2.
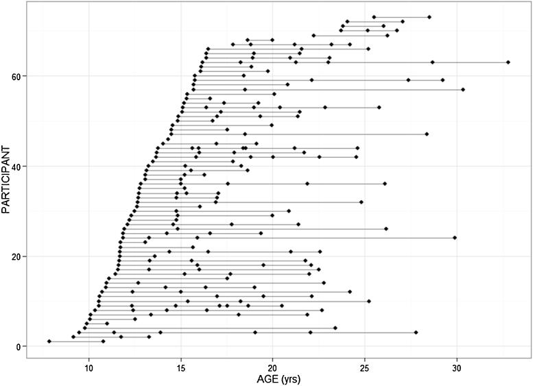
Prenatal processes are likely critical for the differences in cognitive ability and disease risk that unfold in postnatal life. Prenatally established cortical folding patterns are increasingly studied as an adult proxy for earlier development events - under the as yet untested assumption that an individual's folding pattern is developmentally fixed. Here, we provide the first empirical test of this stability assumption using 263 longitudinally-acquired structural MRI brain scans from 75 typically developing individuals spanning ages 7 to 32 years. We focus on the anterior cingulate cortex (ACC) - an intensely studied cortical region that presents two qualitatively distinct and reliably classifiable sulcal patterns with links to postnatal behavior. We show - without exception-that individual ACC sulcal patterns are fixed from childhood to adulthood, at the same time that quantitative anatomical ACC metrics are undergoing profound developmental change. Our findings buttress use of folding typology as a postnatally-stable marker for linking variations in early brain development to later neurocognitive outcomes in ex utero life.
产前过程可能对出生后生活中出现的认知能力差异和疾病风险至关重要。产前建立的皮质折叠模式越来越多地被作为早期发育事件的成人代理进行研究——基于一个尚未经过检验的假设,即个体的折叠模式在发育上是固定的。在这里,我们使用来自75名年龄在7至32岁的典型发育个体的263次纵向获取的结构性MRI脑部扫描,对这一稳定性假设进行了首次实证检验。我们关注前扣带回皮质(ACC)——一个经过深入研究的皮质区域,它呈现出两种在质量上不同且可可靠分类的脑沟模式,与出生后的行为有关。我们毫无例外地表明,个体的ACC脑沟模式从童年到成年都是固定的,与此同时,ACC的定量解剖学指标正在经历深刻的发育变化。我们的研究结果支持将折叠类型学用作一种出生后稳定的标志物,以将早期大脑发育的变化与出生后生活中的后期神经认知结果联系起来。